Akash Babu posted an Question
July 19, 2022 • 10:49 am 30 points
  • CSIR NET
  • Mathematical Sciences

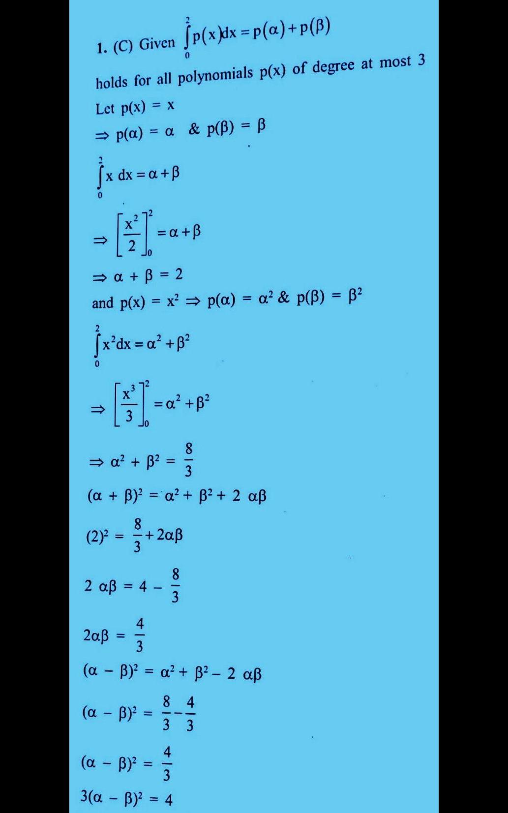
1. if for some a. b e r, the integration formula jp(xdx =p(a)+p(p) holds for all polynomials p(x) of degree most 3 then the value of s(a - f is equal to- (a) 0

1. If for some a. B e R, the integration formula Jp(xdx =p(a)+p(P) holds for all polynomials p(x) of degree most 3 then the value of S(a - F is equal to- (A) 0 (4 (B) 8 (D) 2

1 Answer(s) Answer Now
  • 0 Likes
  • 1 Comments
  • 0 Shares
whatsapp-btn

Do You Want Better RANK in Your Exam?

Start Your Preparations with Eduncle’s FREE Study Material

  • Updated Syllabus, Paper Pattern & Full Exam Details
  • Sample Theory of Most Important Topic
  • Model Test Paper with Detailed Solutions
  • Last 5 Years Question Papers & Answers