profile-img
Vijay posted an Question
July 26, 2022 • 02:45 am 30 points
  • CSIR NET
  • Mathematical Sciences

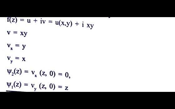
10. if fz)= u(x.y) +ixy is analytic then (a) u(x.y) x-y (b) uxy)= +y) (c) 4(x.9) -y) (d) ux, y) - x+ y

10. If fz)= u(x.y) +ixy is analytic then (A) u(x.y) x-y (B) uxy)= +y) (C) 4(x.9) -y) (D) ux, y) - x+ y

2 Answer(s) Answer Now
  • 0 Likes
  • 2 Comments
  • 0 Shares
whatsapp-btn

Do You Want Better RANK in Your Exam?

Start Your Preparations with Eduncle’s FREE Study Material

  • Updated Syllabus, Paper Pattern & Full Exam Details
  • Sample Theory of Most Important Topic
  • Model Test Paper with Detailed Solutions
  • Last 5 Years Question Papers & Answers