Time management is very much important in IIT JAM. The eduncle test series for IIT JAM Mathematical Statistics helped me a lot in this portion. I am very thankful to the test series I bought from eduncle.
Nilanjan Bhowmick AIR 3, CSIR NET (Earth Science) 
		 
			 
			 
			 
			 
			 
			 
			 
			 
			 
 30 points
 30 points 
 
 
 
             
            

 
                
Anonymous User Best Answer
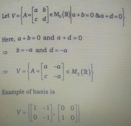
Check the answer Any two linearly independent matrices with trace zero and the entries of the first row adding up to zero.