profile-img
Vijay posted an Question
July 26, 2022 • 02:46 am 30 points
  • CSIR NET
  • Mathematical Sciences

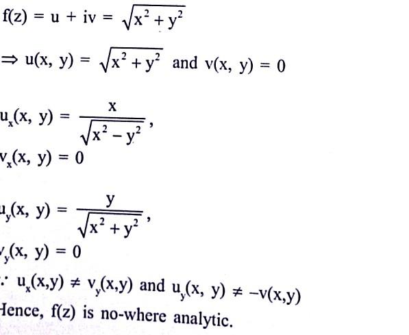
14. the function tc detined by f2) = z is (a) analytic when z0 b) analytic every where (9analytic no.where d) analytic in the region z :2 1

14. The function tC detined by f2) = z is (A) analytic when z0 B) analytic every where (9analytic no.where D) analytic in the region z :2 1

2 Answer(s) Answer Now
  • 0 Likes
  • 2 Comments
  • 0 Shares
whatsapp-btn

Do You Want Better RANK in Your Exam?

Start Your Preparations with Eduncle’s FREE Study Material

  • Updated Syllabus, Paper Pattern & Full Exam Details
  • Sample Theory of Most Important Topic
  • Model Test Paper with Detailed Solutions
  • Last 5 Years Question Papers & Answers