Sharanya posted an Question
April 05, 2021 • 13:25 pm 30 points
  • CSIR NET
  • Physical Sciences

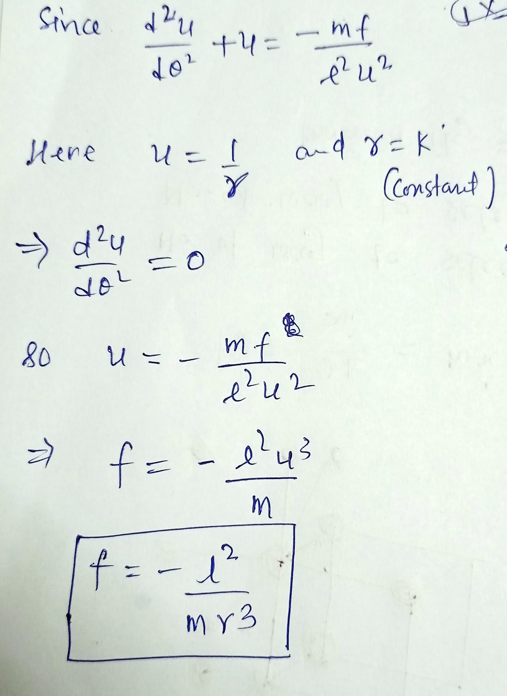
15. if the orbit of a body is given in polar coordinates as: rg =constant, it is under the influence of a force that varies as 1 (a) (b) (c) (d)

15. If the orbit of a body is given in polar coordinates as: rg =constant, it is under the influence of a force that varies as 1 (A) (B) (C) (D)

1 Answer(s) Answer Now
  • 0 Likes
  • 1 Comments
  • 0 Shares
whatsapp-btn

Do You Want Better RANK in Your Exam?

Start Your Preparations with Eduncle’s FREE Study Material

  • Updated Syllabus, Paper Pattern & Full Exam Details
  • Sample Theory of Most Important Topic
  • Model Test Paper with Detailed Solutions
  • Last 5 Years Question Papers & Answers