profile-img
Vijay posted an Question
July 28, 2022 • 01:50 am 30 points
  • CSIR NET
  • Mathematical Sciences

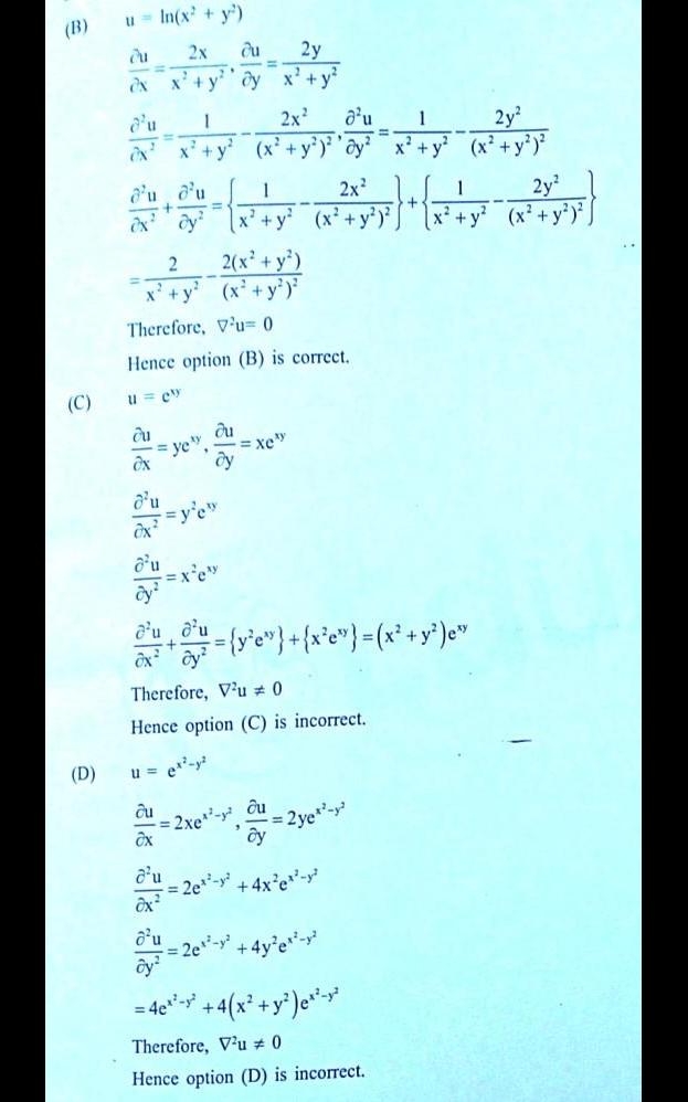
19. consider a lunction i(2) utiv defined on 2 i i where u, v are real valued functions ot x, y then 1(2) 1s analyic tor u cquals to, (a) x+y ) e (b) in(x* + y)

19. Consider a lunction I(2) utiv defined on 2 i I where u, v are real valued functions ot x, y then 1(2) 1s analyic tor u cquals to, (A) x+y ) e (B) In(x* + y) (D)

1 Answer(s) Answer Now
  • 0 Likes
  • 1 Comments
  • 0 Shares
whatsapp-btn

Do You Want Better RANK in Your Exam?

Start Your Preparations with Eduncle’s FREE Study Material

  • Updated Syllabus, Paper Pattern & Full Exam Details
  • Sample Theory of Most Important Topic
  • Model Test Paper with Detailed Solutions
  • Last 5 Years Question Papers & Answers