Time management is very much important in IIT JAM. The eduncle test series for IIT JAM Mathematical Statistics helped me a lot in this portion. I am very thankful to the test series I bought from eduncle.
Nilanjan Bhowmick AIR 3, CSIR NET (Earth Science)
>
>
>
>


Ruby negi
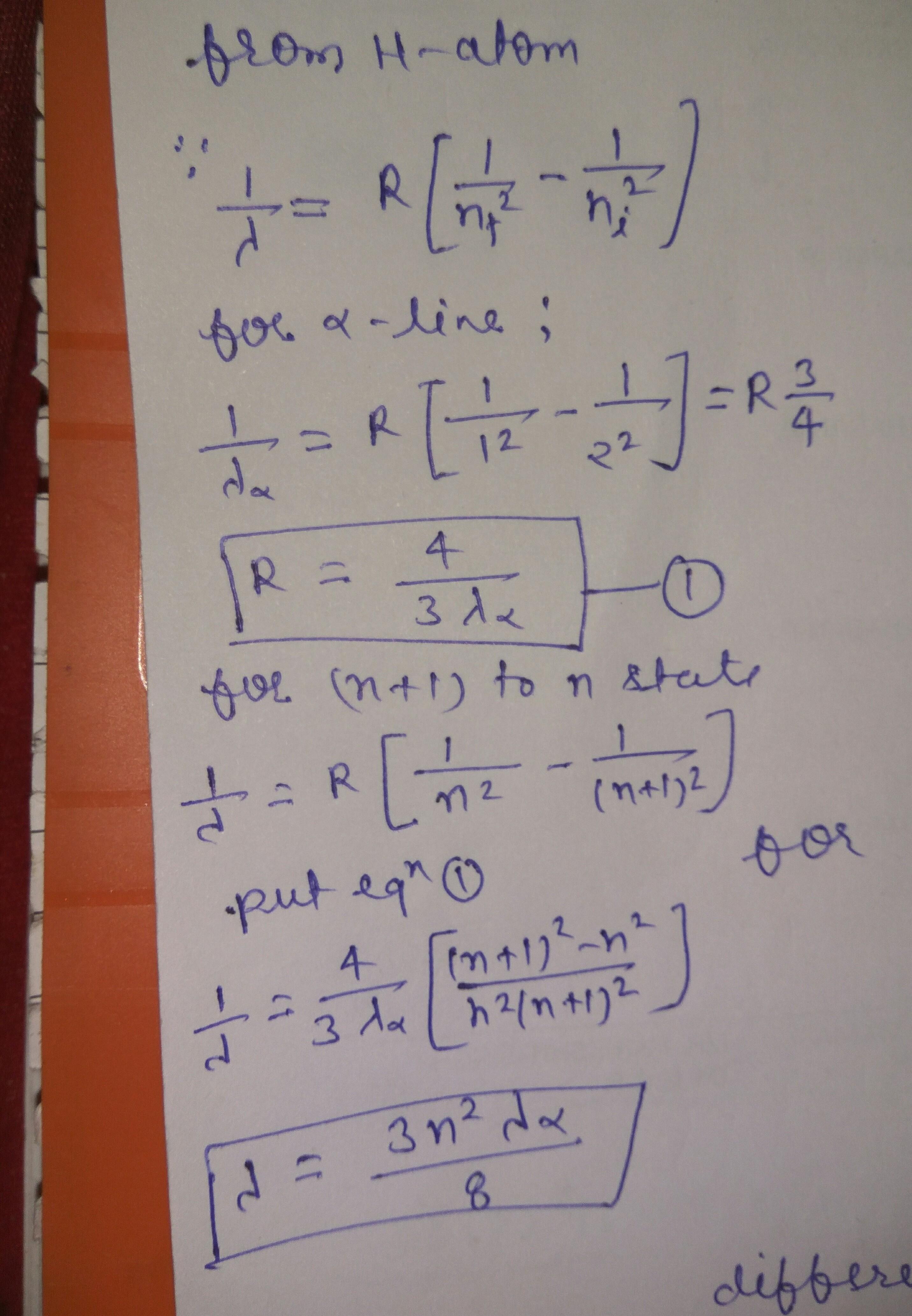
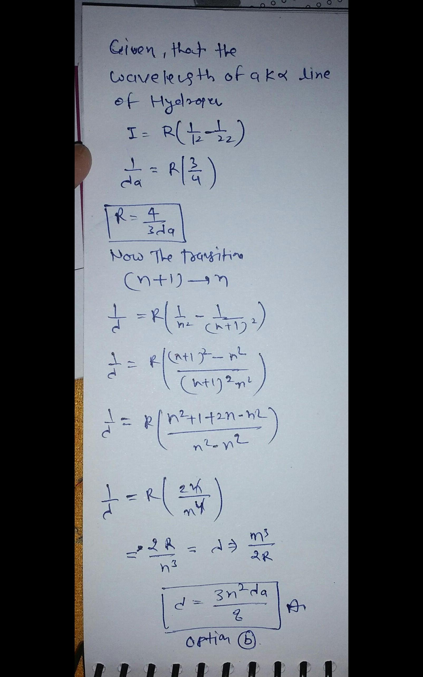
solutions.. I used binomial in the calculation... here is a little mistake in the options, option b is correct but in option b 3 is in left hand side but it must be in right hand side.. see the solution you will get to know... best regards..