Sharanya posted an Question
March 24, 2021 • 15:23 pm 30 points
  • CSIR NET
  • Physical Sciences

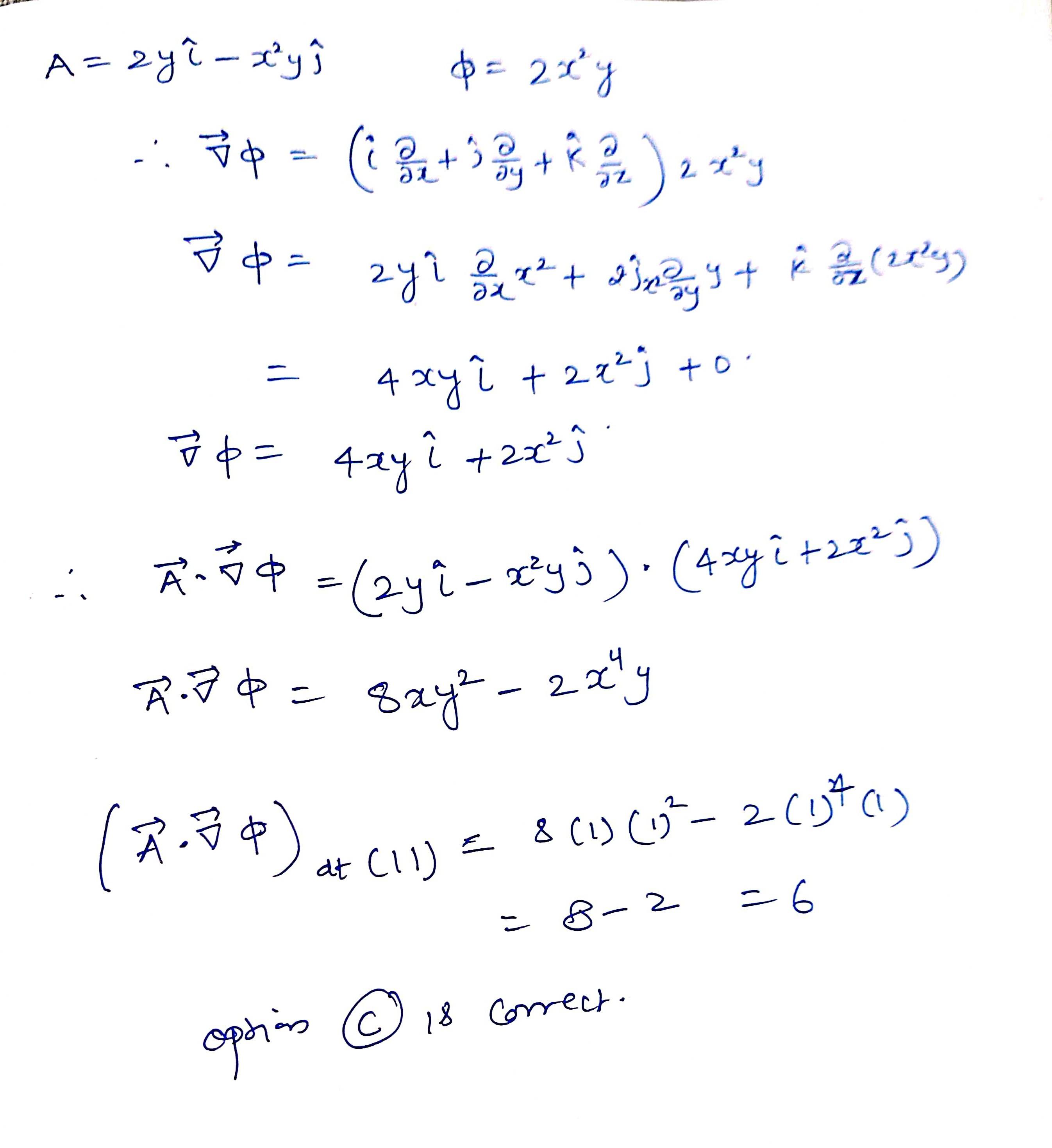
2. if a =2yi - x'yj and o = 2xy, then a.vh at (1, 1) is (a) (b)-2 (c) 6 (d) 12

2. If A =2yi - x'yj and o = 2xy, then A.Vh at (1, 1) is (A) (B)-2 (C) 6 (D) 12

1 Answer(s) Answer Now
  • 0 Likes
  • 1 Comments
  • 0 Shares
whatsapp-btn

Do You Want Better RANK in Your Exam?

Start Your Preparations with Eduncle’s FREE Study Material

  • Updated Syllabus, Paper Pattern & Full Exam Details
  • Sample Theory of Most Important Topic
  • Model Test Paper with Detailed Solutions
  • Last 5 Years Question Papers & Answers