Akash Babu posted an Question
July 04, 2022 • 00:40 am 30 points
  • CSIR NET
  • Mathematical Sciences

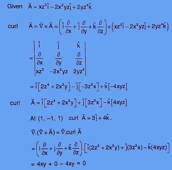
20. if Ā = xz'i - 2x*'yzj + 2yz'k then v.(vxa) equals to

20. If Ā = xz'i - 2x*'yzj + 2yz'k then V.(VxA) equals to how to solve this type of solutions.

1 Answer(s) Answer Now
  • 0 Likes
  • 1 Comments
  • 0 Shares
whatsapp-btn

Do You Want Better RANK in Your Exam?

Start Your Preparations with Eduncle’s FREE Study Material

  • Updated Syllabus, Paper Pattern & Full Exam Details
  • Sample Theory of Most Important Topic
  • Model Test Paper with Detailed Solutions
  • Last 5 Years Question Papers & Answers