profile-img
Vijay posted an Question
May 29, 2022 • 01:54 am 30 points
  • CSIR NET
  • Mathematical Sciences

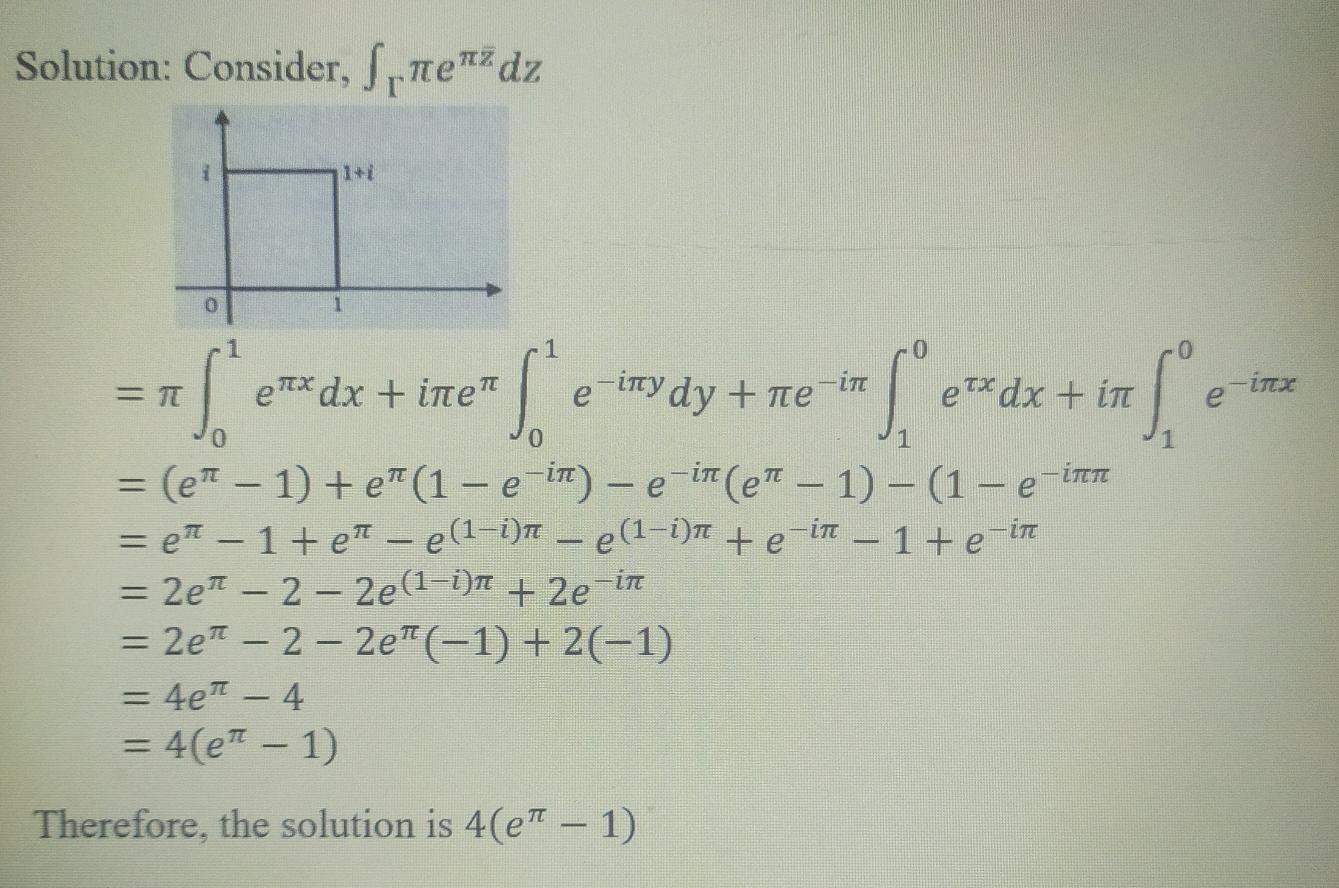
22. letr be the boundary of the square in the complex plane with vertices at the points 0,1,1+i and i, which is described in the anticlockwise direction. evalua

22. Letr be the boundary of the square in the complex plane with vertices at the points 0,1,1+i and i, which is described in the anticlockwise direction. Evaluate: re"dz

1 Answer(s) Answer Now
  • 0 Likes
  • 1 Comments
  • 0 Shares
whatsapp-btn

Do You Want Better RANK in Your Exam?

Start Your Preparations with Eduncle’s FREE Study Material

  • Updated Syllabus, Paper Pattern & Full Exam Details
  • Sample Theory of Most Important Topic
  • Model Test Paper with Detailed Solutions
  • Last 5 Years Question Papers & Answers