profile-img
Vijay posted an Question
July 02, 2022 • 02:50 am 30 points
  • CSIR NET
  • Mathematical Sciences

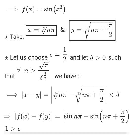
(23) let f: rr be defined by fr) = sin r', then f is a) uniformly continuous b) not differentiable c) continu us but not uniformly continuous d) not continuous.

(23) Let f: RR be defined by fr) = sin r', then f is A) uniformly continuous B) not differentiable C) continu us but not uniformly continuous D) not continuous.

1 Answer(s) Answer Now
  • 0 Likes
  • 1 Comments
  • 0 Shares
whatsapp-btn

Do You Want Better RANK in Your Exam?

Start Your Preparations with Eduncle’s FREE Study Material

  • Updated Syllabus, Paper Pattern & Full Exam Details
  • Sample Theory of Most Important Topic
  • Model Test Paper with Detailed Solutions
  • Last 5 Years Question Papers & Answers