Akash Babu posted an Question
July 05, 2022 • 00:43 am 30 points
  • CSIR NET
  • Mathematical Sciences

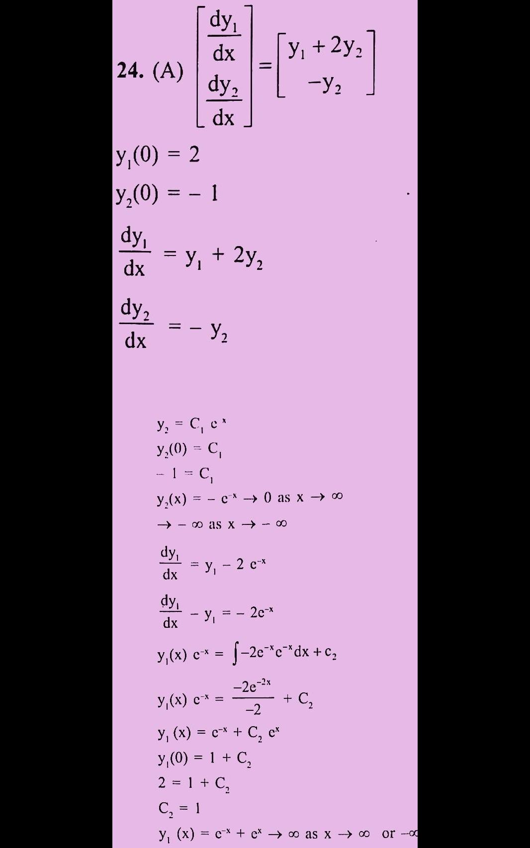
24. consider the system of ode. dy di ay y0) o- where a-0 -and yy,(x) hen (a) y, (x)-> and y, (x) 0 as x 0, (b) y, (x) 0 and (c) y, (x) and (d) y, (x). y, (x)0

24. Consider the system of ODE. dy di AY Y0) o- where A-0 -and Yy,(x) hen (A) y, (x)-> and Y, (x) 0 as X 0, (B) y, (x) 0 and (C) y, (x) and (D) y, (x). y, (x)0 Y, (8) as X 0. as x -0 as x -0 y(x) -

1 Answer(s) Answer Now
  • 0 Likes
  • 1 Comments
  • 0 Shares
whatsapp-btn

Do You Want Better RANK in Your Exam?

Start Your Preparations with Eduncle’s FREE Study Material

  • Updated Syllabus, Paper Pattern & Full Exam Details
  • Sample Theory of Most Important Topic
  • Model Test Paper with Detailed Solutions
  • Last 5 Years Question Papers & Answers