profile-img
Vijay posted an Question
June 08, 2022 • 02:48 am 30 points
  • CSIR NET
  • Mathematical Sciences

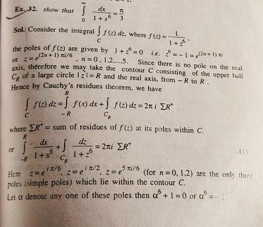
24.evaluate j 0 1 dx. 1+x6

-o (x2+1) ax. 23. -o (x2+1) ax. 23. Evaluate COsmX COsmX J 0 1 dx. 1+x6

1 Answer(s) Answer Now
  • 0 Likes
  • 1 Comments
  • 0 Shares
whatsapp-btn

Do You Want Better RANK in Your Exam?

Start Your Preparations with Eduncle’s FREE Study Material

  • Updated Syllabus, Paper Pattern & Full Exam Details
  • Sample Theory of Most Important Topic
  • Model Test Paper with Detailed Solutions
  • Last 5 Years Question Papers & Answers