Sharanya posted an Question
March 31, 2021 • 13:36 pm 30 points
  • CSIR NET
  • Physical Sciences

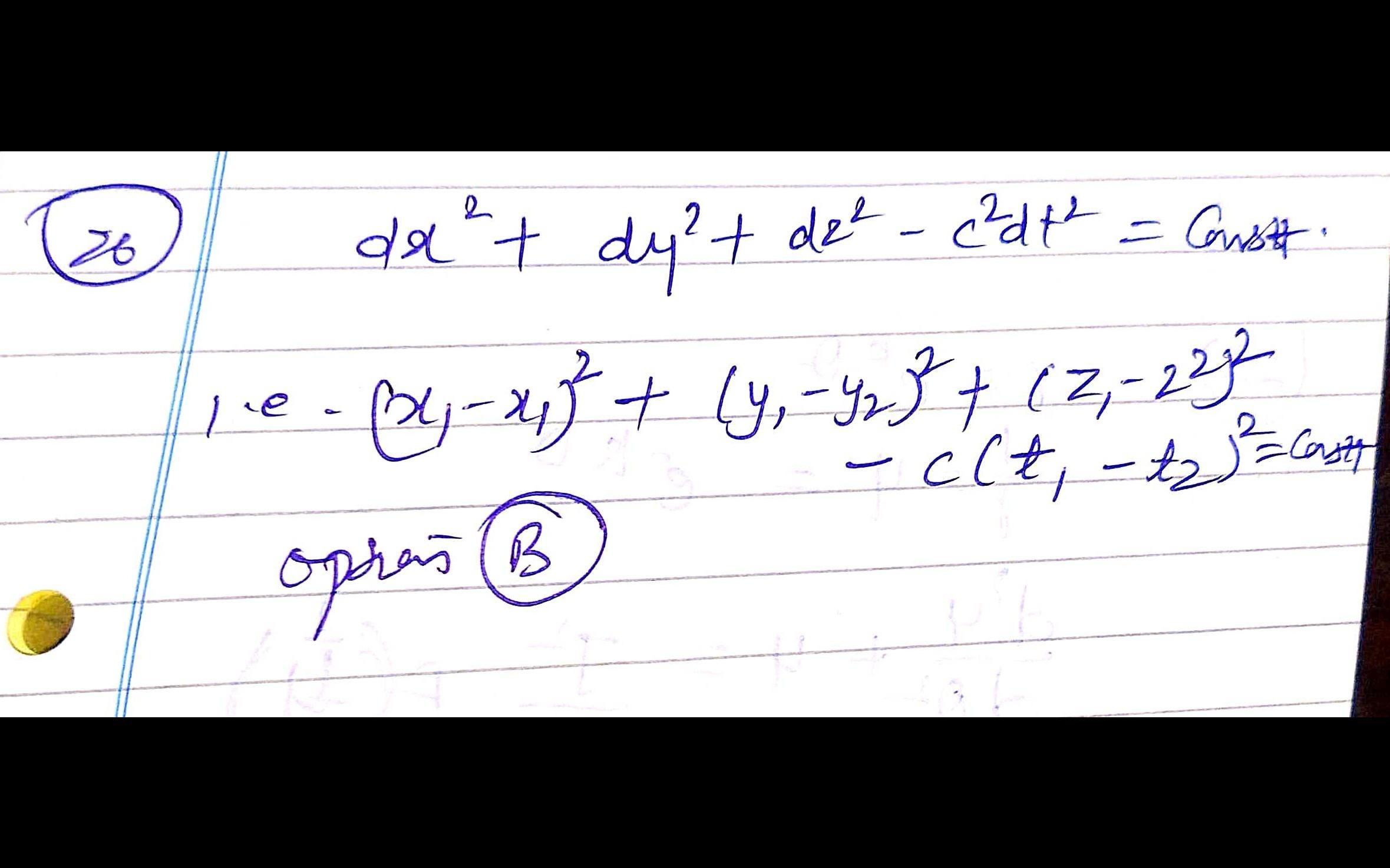
24. if the spatial and temporal coordinates of two events in an inertial frame are : y, 2, 1,) and (m, y, 2 ) then the following expression remains unchanged un

24. If the spatial and temporal coordinates of two events in an inertial frame are : Y, 2, 1,) and (M, Y, 2 ) then the following expression remains unchanged under Lorentz transformations (A) x,-x) + (V, -y,)} + (z,-z)}" (B) x,-x) +(V, -yP+ (z,-zP- - (C) x,-x) +(V, -y,+ (z,-z)}P+ (t- (D) (x, +x + (y, +y P +(2, +z) (, +P

1 Answer(s) Answer Now
  • 0 Likes
  • 1 Comments
  • 0 Shares
whatsapp-btn

Do You Want Better RANK in Your Exam?

Start Your Preparations with Eduncle’s FREE Study Material

  • Updated Syllabus, Paper Pattern & Full Exam Details
  • Sample Theory of Most Important Topic
  • Model Test Paper with Detailed Solutions
  • Last 5 Years Question Papers & Answers