profile-img
Vijay posted an Question
July 24, 2022 • 02:34 am 30 points
  • CSIR NET
  • Mathematical Sciences

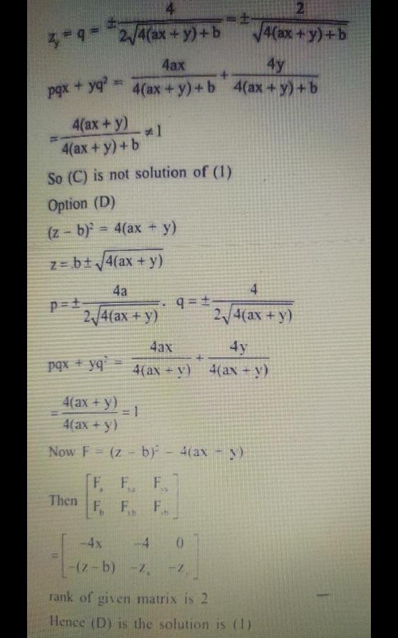
39, which of the following are complete integrals of the partial differential equation pgx + yg =1? (b) z-%++b (d) (z - b)} =4 (ax + y) (a) z- b (c) z= 4 (ax +

39, Which of the following are complete integrals of the partial differential equation pgx + yg =1? (B) z-%++b (D) (z - b)} =4 (ax + y) (A) z- b (C) z= 4 (ax + y) +b

1 Answer(s) Answer Now
  • 0 Likes
  • 1 Comments
  • 0 Shares
whatsapp-btn

Do You Want Better RANK in Your Exam?

Start Your Preparations with Eduncle’s FREE Study Material

  • Updated Syllabus, Paper Pattern & Full Exam Details
  • Sample Theory of Most Important Topic
  • Model Test Paper with Detailed Solutions
  • Last 5 Years Question Papers & Answers