Time management is very much important in IIT JAM. The eduncle test series for IIT JAM Mathematical Statistics helped me a lot in this portion. I am very thankful to the test series I bought from eduncle.
Nilanjan Bhowmick AIR 3, CSIR NET (Earth Science)


Soumya
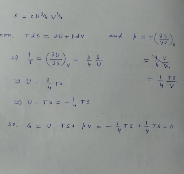
I have a doubt mam.How 1/T=3S/4U
First of all,I am a male, so kindly stop referring me as "ma'am" .I am a sudent just as you are ,do not refer me as sir or ma'am. Now follow the definition of entropy , given by dS=dQ/T ,which for constant volume becomes equal to dU/T so that 1/T=delS/delU. Calculate it and you will get the answer