Sharanya posted an Question
April 03, 2021 • 13:42 pm 30 points
  • CSIR NET
  • Physical Sciences

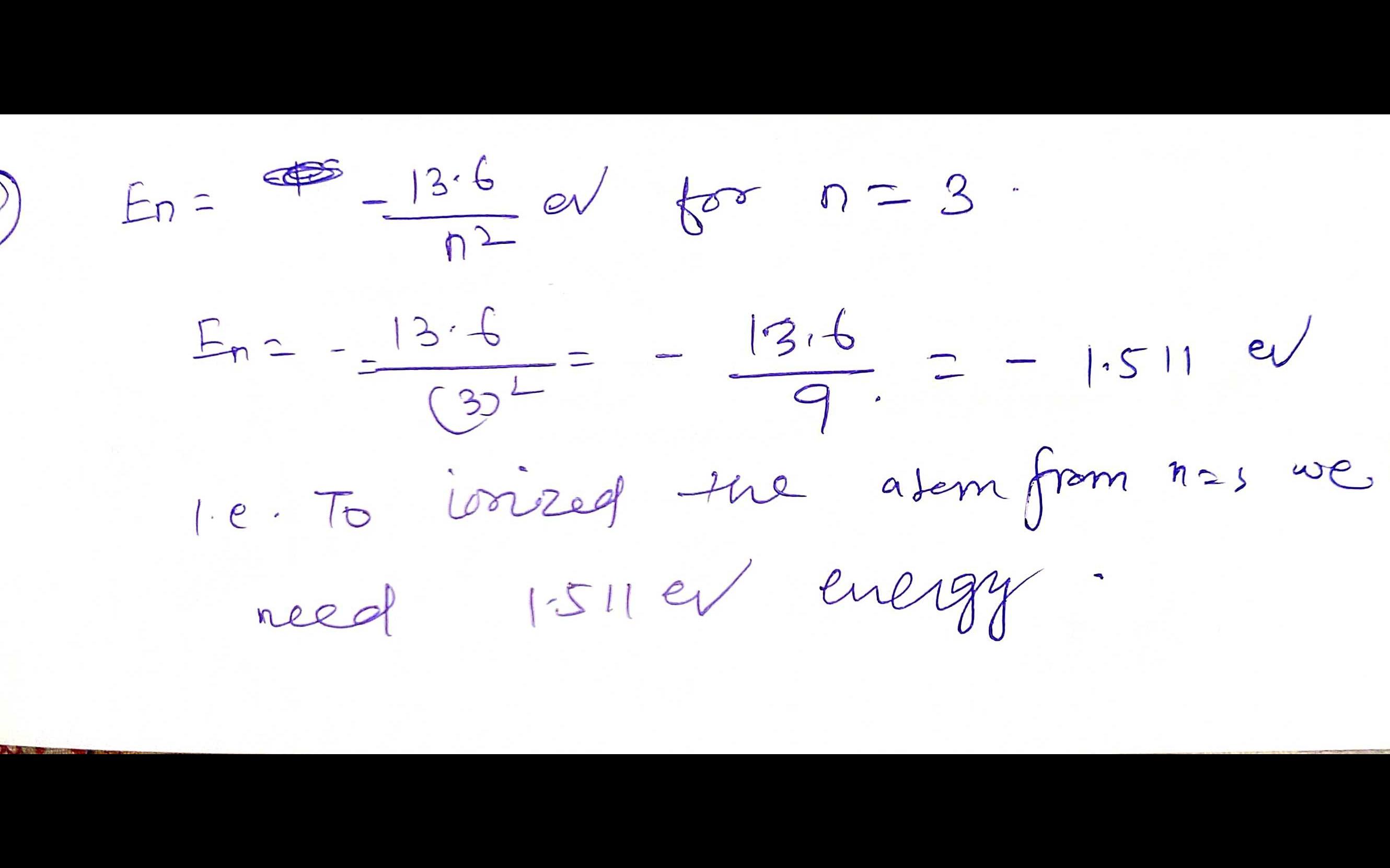
43. lonization energy for hydrogen atom initially atn = 3 excited state is (a)-13.6 ev (b)13.6 ev (c)-3.4 ev (d)+1.51 ev

43. lonization energy for hydrogen atom initially atn = 3 excited state is (A)-13.6 eV (B)13.6 eV (C)-3.4 eV (D)+1.51 eV

1 Answer(s) Answer Now
  • 0 Likes
  • 1 Comments
  • 0 Shares
whatsapp-btn

Do You Want Better RANK in Your Exam?

Start Your Preparations with Eduncle’s FREE Study Material

  • Updated Syllabus, Paper Pattern & Full Exam Details
  • Sample Theory of Most Important Topic
  • Model Test Paper with Detailed Solutions
  • Last 5 Years Question Papers & Answers