profile-img
Vijay posted an Question
August 06, 2022 • 02:03 am 30 points
  • CSIR NET
  • Mathematical Sciences

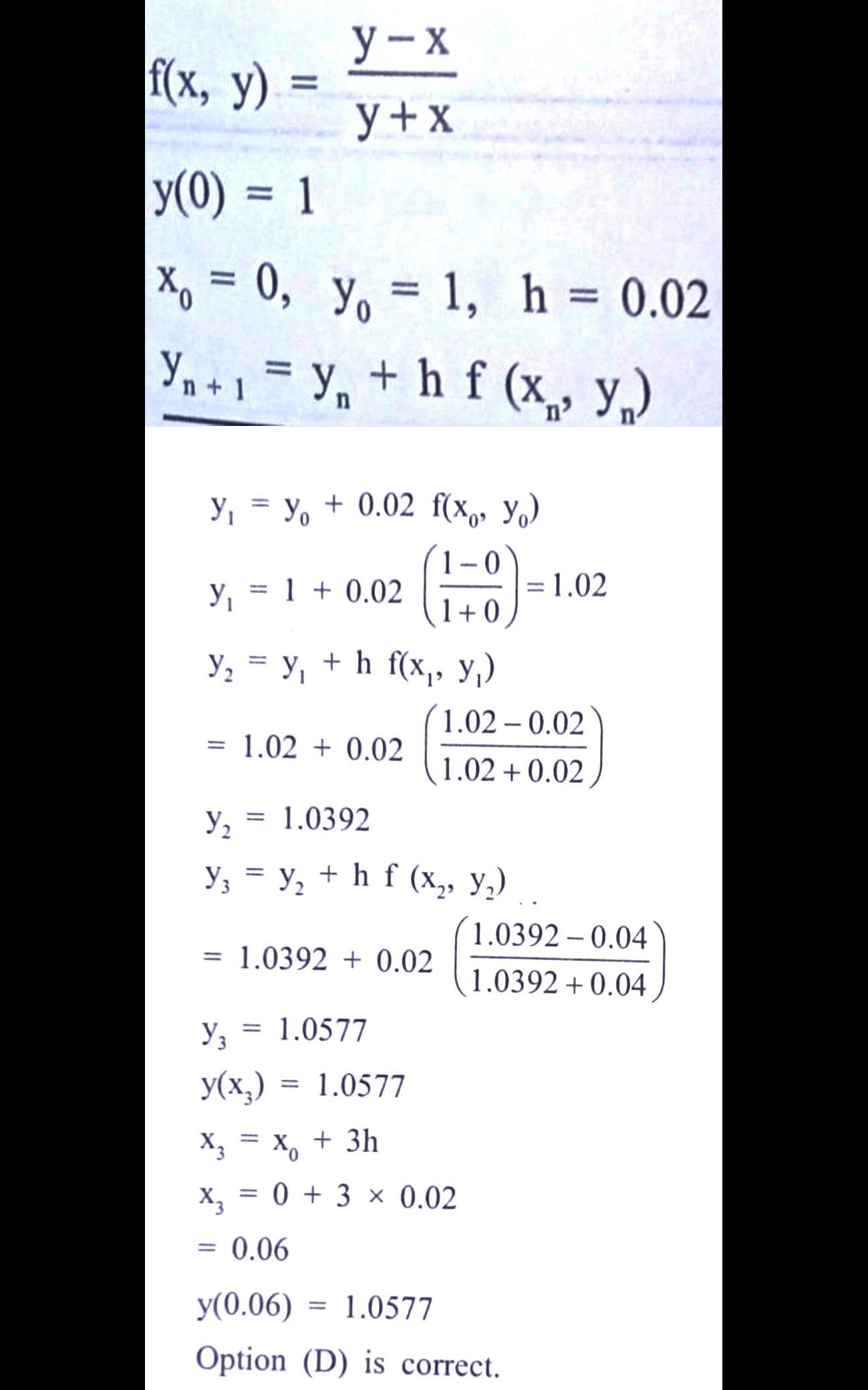
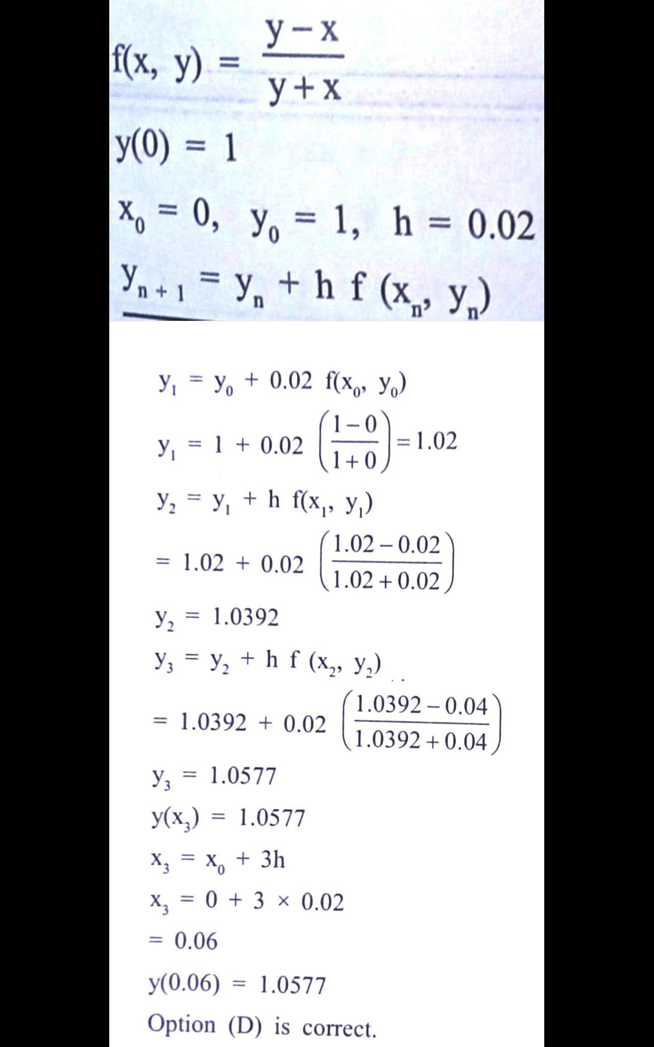
51. for the given i.v.p. y= y(0)=1. the value of y(0.06) with step size h = 0.02 using euler's method correct upto 4 places of decimal is a) 1.0392 b) 1.0200 (c

51. For the given I.V.P. Y= y(0)=1. The value of y(0.06) with step size h = 0.02 using Euler's method correct upto 4 places of decimal is A) 1.0392 B) 1.0200 (C) 1.0497 (D) 1.0577

2 Answer(s) Answer Now
  • 0 Likes
  • 2 Comments
  • 0 Shares
whatsapp-btn

Do You Want Better RANK in Your Exam?

Start Your Preparations with Eduncle’s FREE Study Material

  • Updated Syllabus, Paper Pattern & Full Exam Details
  • Sample Theory of Most Important Topic
  • Model Test Paper with Detailed Solutions
  • Last 5 Years Question Papers & Answers