profile-img
Vijay posted an Question
July 21, 2022 • 02:02 am 30 points
  • CSIR NET
  • Mathematical Sciences

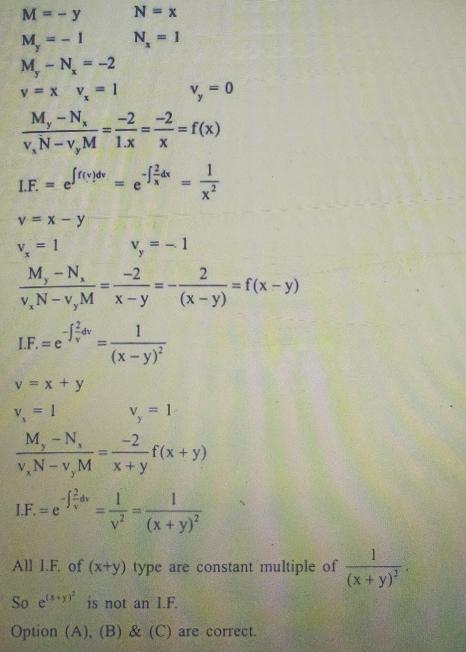
54. let xdy ydx 0 be a non-exact difl. equation then a) s an le which is a function of x only (c9 3 an lf. which is a function of (x + y) only. (b) an i.f. whic

54. Let xdy ydx 0 be a non-exact difl. equation then A) S an LE which is a function of x only (C9 3 an LF. which is a function of (x + y) only. (B) an I.F. which is a function of (x y) only. (D) e* is an L.F.

1 Answer(s) Answer Now
  • 0 Likes
  • 1 Comments
  • 0 Shares
whatsapp-btn

Do You Want Better RANK in Your Exam?

Start Your Preparations with Eduncle’s FREE Study Material

  • Updated Syllabus, Paper Pattern & Full Exam Details
  • Sample Theory of Most Important Topic
  • Model Test Paper with Detailed Solutions
  • Last 5 Years Question Papers & Answers