Time management is very much important in IIT JAM. The eduncle test series for IIT JAM Mathematical Statistics helped me a lot in this portion. I am very thankful to the test series I bought from eduncle.
Nilanjan Bhowmick AIR 3, CSIR NET (Earth Science)


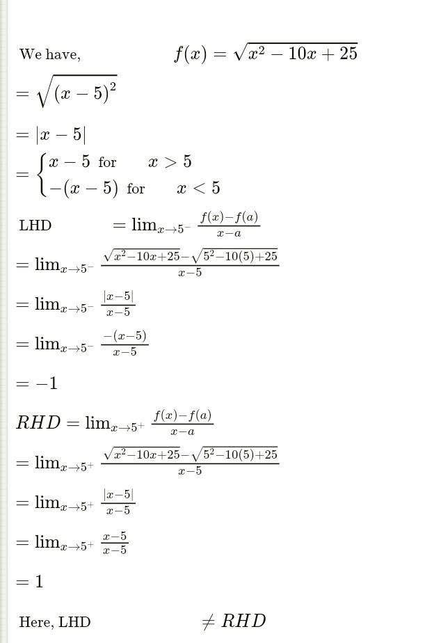
Ashish sharma Best Answer
answer is option-D none of these, because at X=5 ; left hand derivative is not equal to the right hand derivative