profile-img
Vijay posted an Question
June 13, 2022 • 03:04 am 30 points
  • CSIR NET
  • Mathematical Sciences

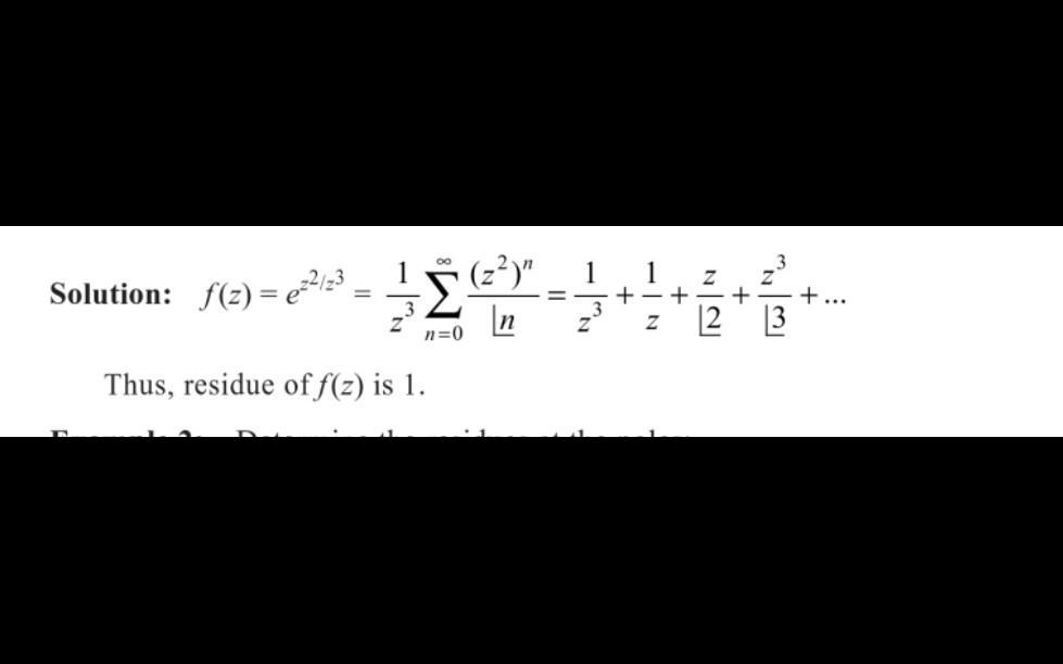
+7+lc:l= +7+lc:l= example: evaland uate z+1 : evaluate z+1 example: evaluate z+1

+7+lc:l= +7+lc:l= Example: Evaland uate z+1 : Evaluate z+1 Example: Evaluate z+1

1 Answer(s) Answer Now
  • 0 Likes
  • 1 Comments
  • 0 Shares
whatsapp-btn

Do You Want Better RANK in Your Exam?

Start Your Preparations with Eduncle’s FREE Study Material

  • Updated Syllabus, Paper Pattern & Full Exam Details
  • Sample Theory of Most Important Topic
  • Model Test Paper with Detailed Solutions
  • Last 5 Years Question Papers & Answers