profile-img
Vijay posted an Question
July 05, 2022 • 03:27 am 30 points
  • CSIR NET
  • Mathematical Sciences

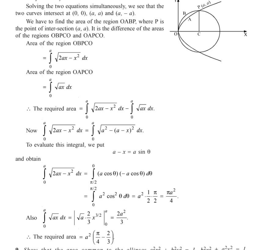
8. find the area of the region lying above x-axis, and incuded between the circle x+- 24x and the parabola yi = ax solving the two equations simultancously, we

8. Find the area of the region lying above x-axis, and incuded between the circle x+- 24x and the parabola yi = ax Solving the two equations simultancously, we see that the

1 Answer(s) Answer Now
  • 0 Likes
  • 1 Comments
  • 0 Shares
whatsapp-btn

Do You Want Better RANK in Your Exam?

Start Your Preparations with Eduncle’s FREE Study Material

  • Updated Syllabus, Paper Pattern & Full Exam Details
  • Sample Theory of Most Important Topic
  • Model Test Paper with Detailed Solutions
  • Last 5 Years Question Papers & Answers