Time management is very much important in IIT JAM. The eduncle test series for IIT JAM Mathematical Statistics helped me a lot in this portion. I am very thankful to the test series I bought from eduncle.
Nilanjan Bhowmick AIR 3, CSIR NET (Earth Science)
>


Dinesh khalmaniya 1 Best Answer
option B
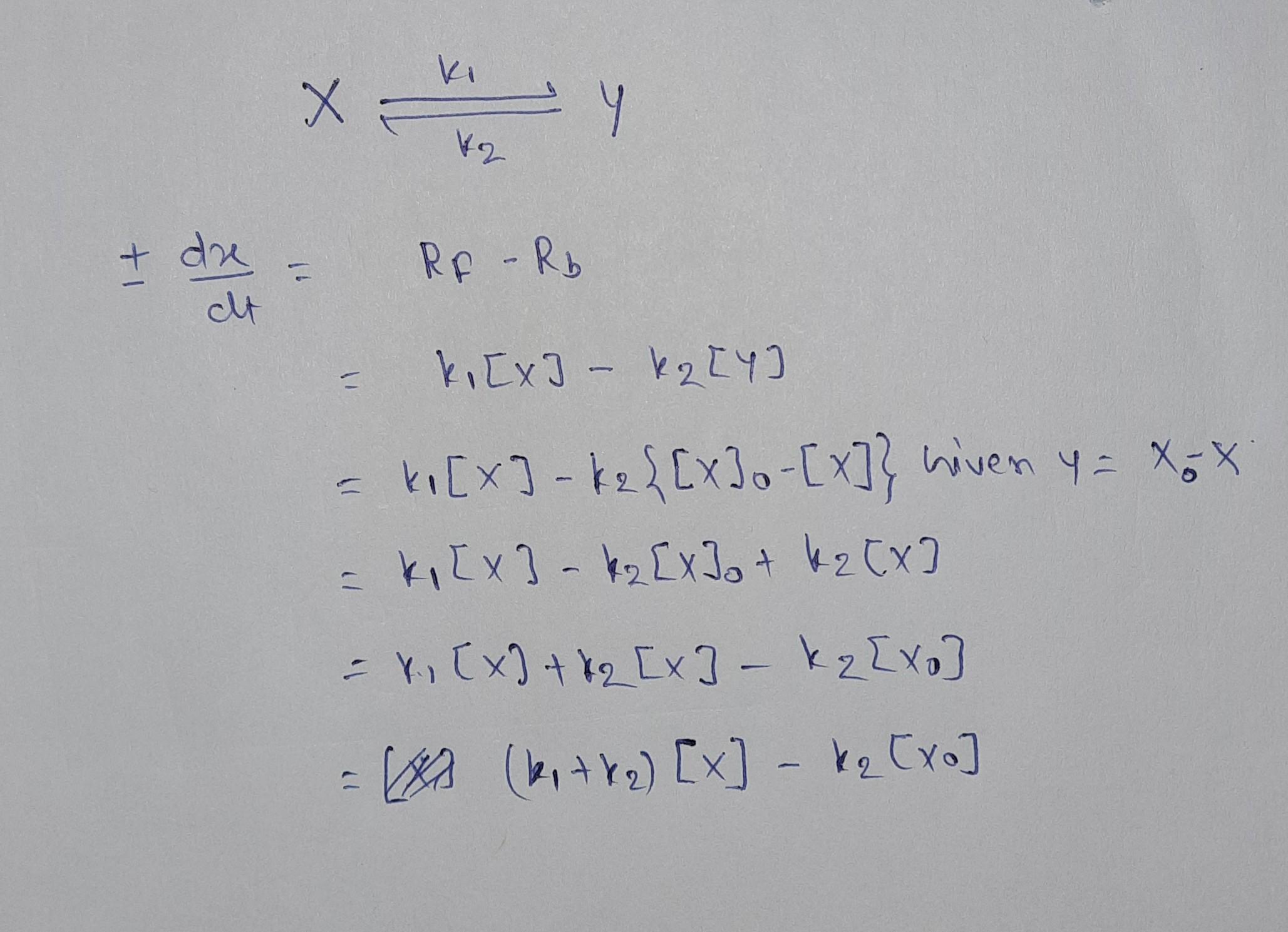
please explain how the rate of backword reaction be determined in terms of X nd X•
solution