profile-img
Eduncle posted an MCQ
December 24, 2019 • 17:02 pm 0 points
  • CSIR NET
  • Physical Sciences

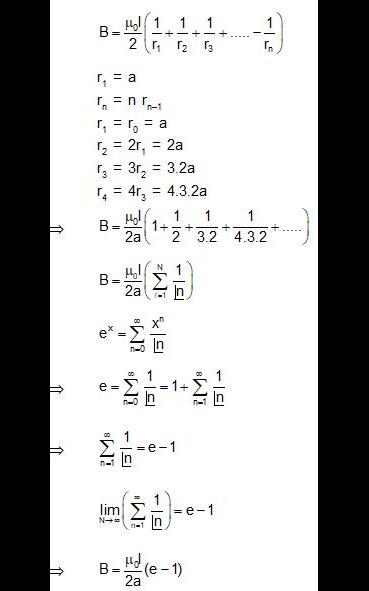
A set of N concentric circular loops of wire, each carrying a steady current l in the

Choose Your Answer:
0 Attempts Submit Now
  • 0 Likes
  • 1 Comments
  • 0 Shares
whatsapp-btn

Do You Want Better RANK in Your Exam?

Start Your Preparations with Eduncle’s FREE Study Material

  • Updated Syllabus, Paper Pattern & Full Exam Details
  • Sample Theory of Most Important Topic
  • Model Test Paper with Detailed Solutions
  • Last 5 Years Question Papers & Answers