Time management is very much important in IIT JAM. The eduncle test series for IIT JAM Mathematical Statistics helped me a lot in this portion. I am very thankful to the test series I bought from eduncle.
Nilanjan Bhowmick AIR 3, CSIR NET (Earth Science)
>

>
>


Ruby negi
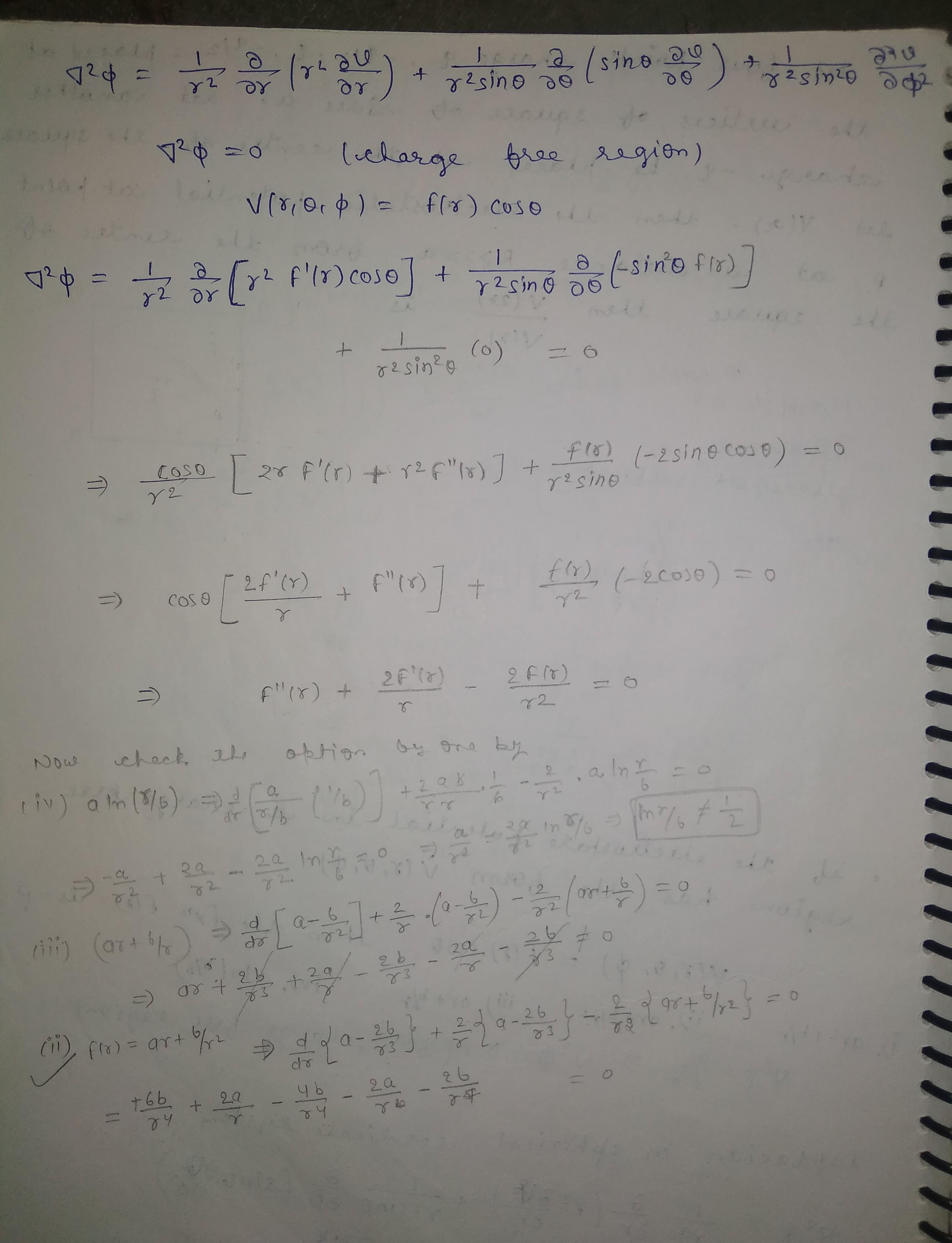
here is important to remember the Laplacian... I suggest to you make a note of formulas of mp so that you will not forget the formulas at exam..
I clearly wrote the Laplacian in my attached page..
see the formula and try remember it...
this is the important formula.. sometimes question are directly based on these ...
hope you will get everything... good luck..
yes, you should remember the formulas