Time management is very much important in IIT JAM. The eduncle test series for IIT JAM Mathematical Statistics helped me a lot in this portion. I am very thankful to the test series I bought from eduncle.
Nilanjan Bhowmick AIR 3, CSIR NET (Earth Science)


Anonymous User
option 4
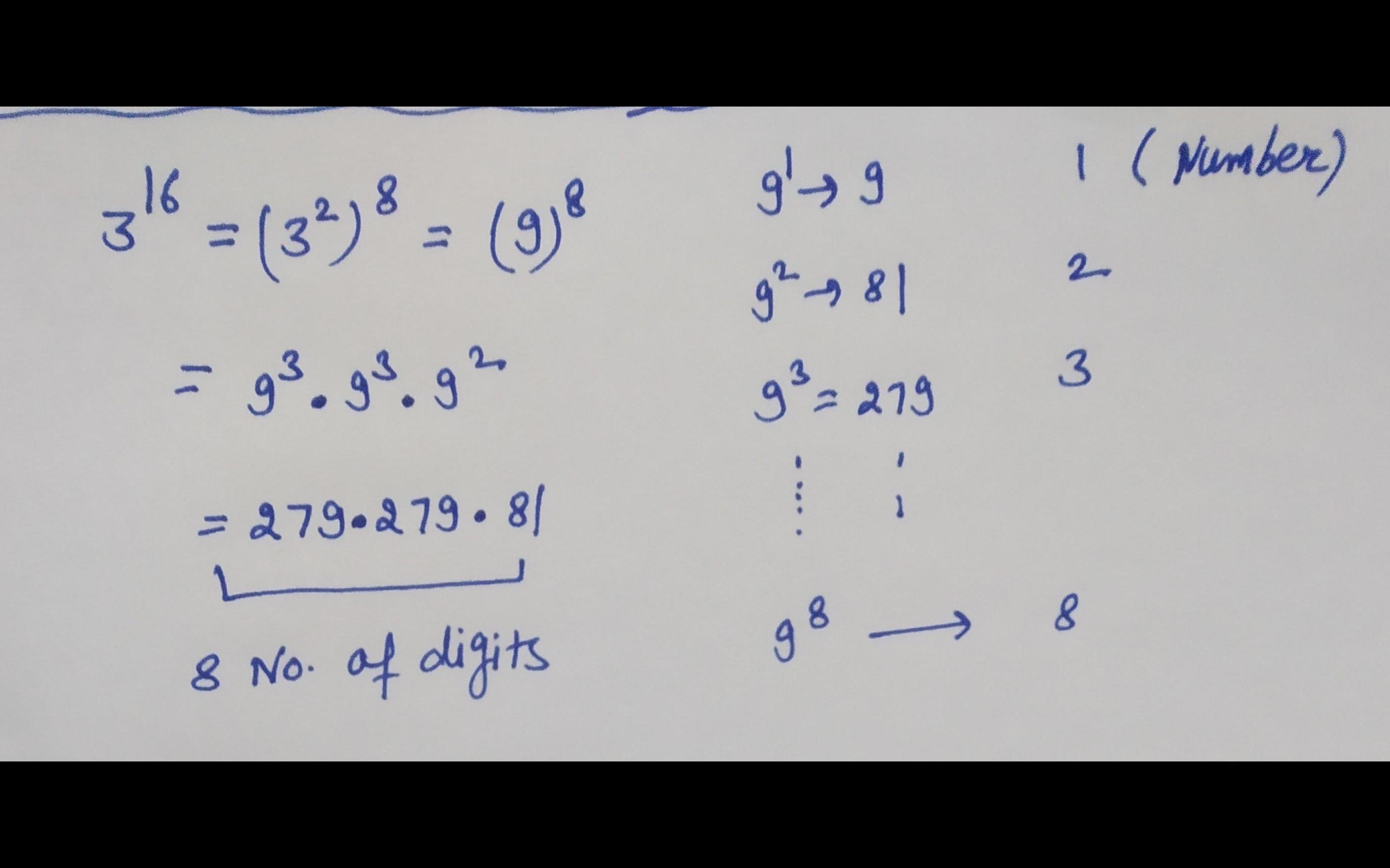
This trick of finding no.of digits is given by 9 only or do other numbers also satisfy them? If yes, can you mention those?
If mentioned as, to find the no. of digits in '2 power 16', then which trick can we apply?