Time management is very much important in IIT JAM. The eduncle test series for IIT JAM Mathematical Statistics helped me a lot in this portion. I am very thankful to the test series I bought from eduncle.
Nilanjan Bhowmick AIR 3, CSIR NET (Earth Science)
>



Bidyut sinha
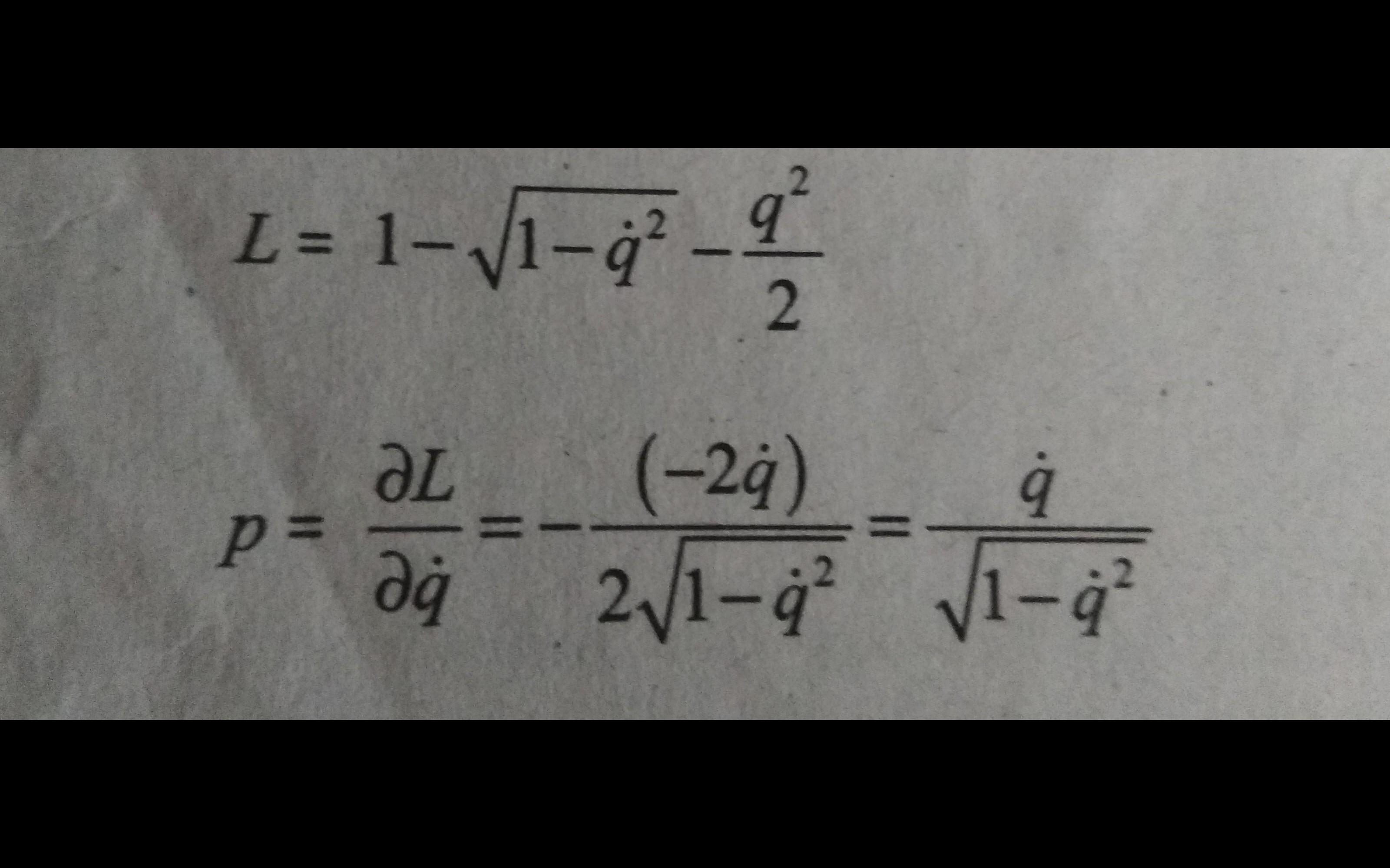
see attached picture..When a particle execute oscillation with Amplitude A, then total Energy is 1/2 A^2...and total Energy represent Hamiltonian of the system...So H=1/2 A^2....