Time management is very much important in IIT JAM. The eduncle test series for IIT JAM Mathematical Statistics helped me a lot in this portion. I am very thankful to the test series I bought from eduncle.
Nilanjan Bhowmick AIR 3, CSIR NET (Earth Science)


Sumati priya Best Answer
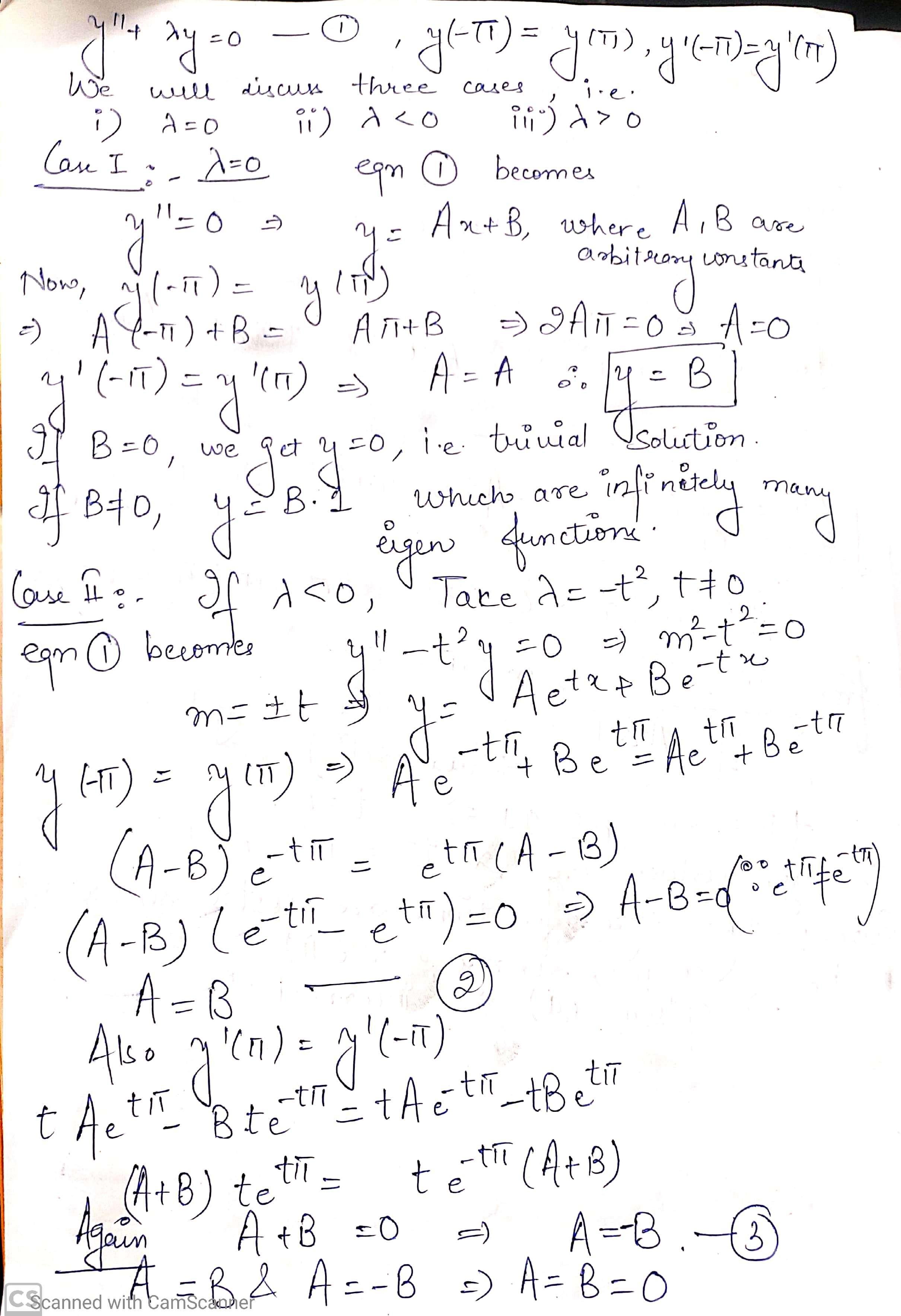
no option is incorrect... infact options are incomplete.. check the attached file.
options b, c , d are correct