profile-img
Vijay posted an Question
June 25, 2022 • 22:30 pm 30 points
  • CSIR NET
  • Mathematical Sciences

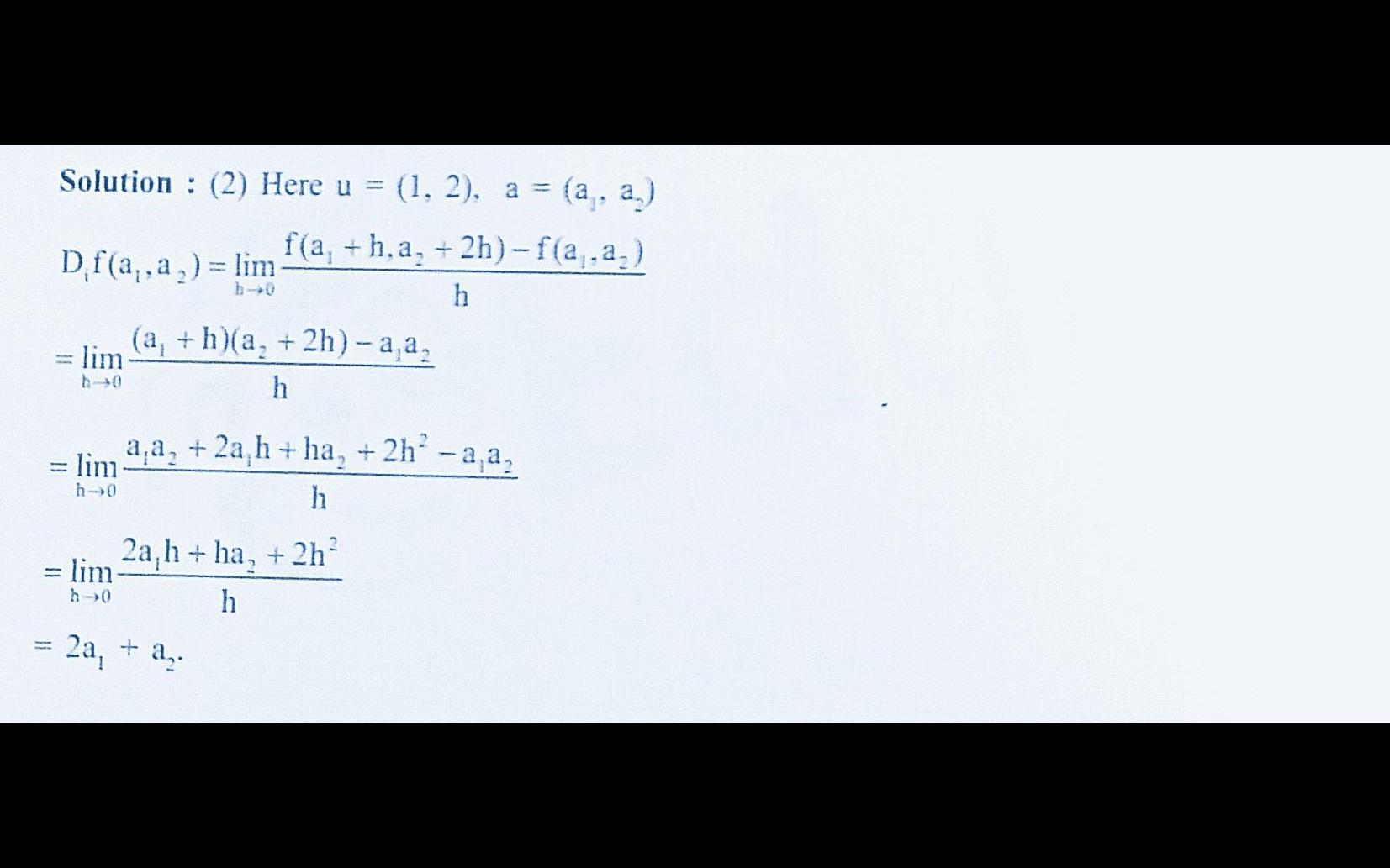
Example : a function f: r2-> r is defined by fx, y) xy. let u = (1, 2) and a- (a,, a,) be two elements of r the directional derivative of f in the direction of

Example : A function f: R2-> R is defined by fx, y) xy. Let u = (1, 2) and a- (a,, a,) be two elements of R The directional derivative of f in the direction of u at a is (CSIR NET MA Dee 2016) ()a+2a, (2) a,+2a, 3) , (4)+a,

1 Answer(s) Answer Now
  • 0 Likes
  • 1 Comments
  • 0 Shares
whatsapp-btn

Do You Want Better RANK in Your Exam?

Start Your Preparations with Eduncle’s FREE Study Material

  • Updated Syllabus, Paper Pattern & Full Exam Details
  • Sample Theory of Most Important Topic
  • Model Test Paper with Detailed Solutions
  • Last 5 Years Question Papers & Answers