Time management is very much important in IIT JAM. The eduncle test series for IIT JAM Mathematical Statistics helped me a lot in this portion. I am very thankful to the test series I bought from eduncle.
Nilanjan Bhowmick AIR 3, CSIR NET (Earth Science)


D s kumar
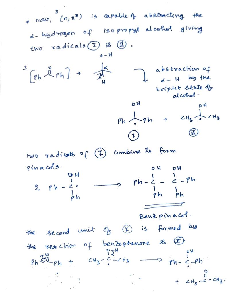
the first reaction is an example of PHOTO REDUCTION REACTION. The second reaction is an example of PATERNO BUCHI REACTION. Detailed mechanisms are explained in the attached sheets.