Bansy Mary Lyngdoh posted an Question
January 20, 2022 • 22:16 pm 30 points
  • CSIR NET
  • Physical Sciences

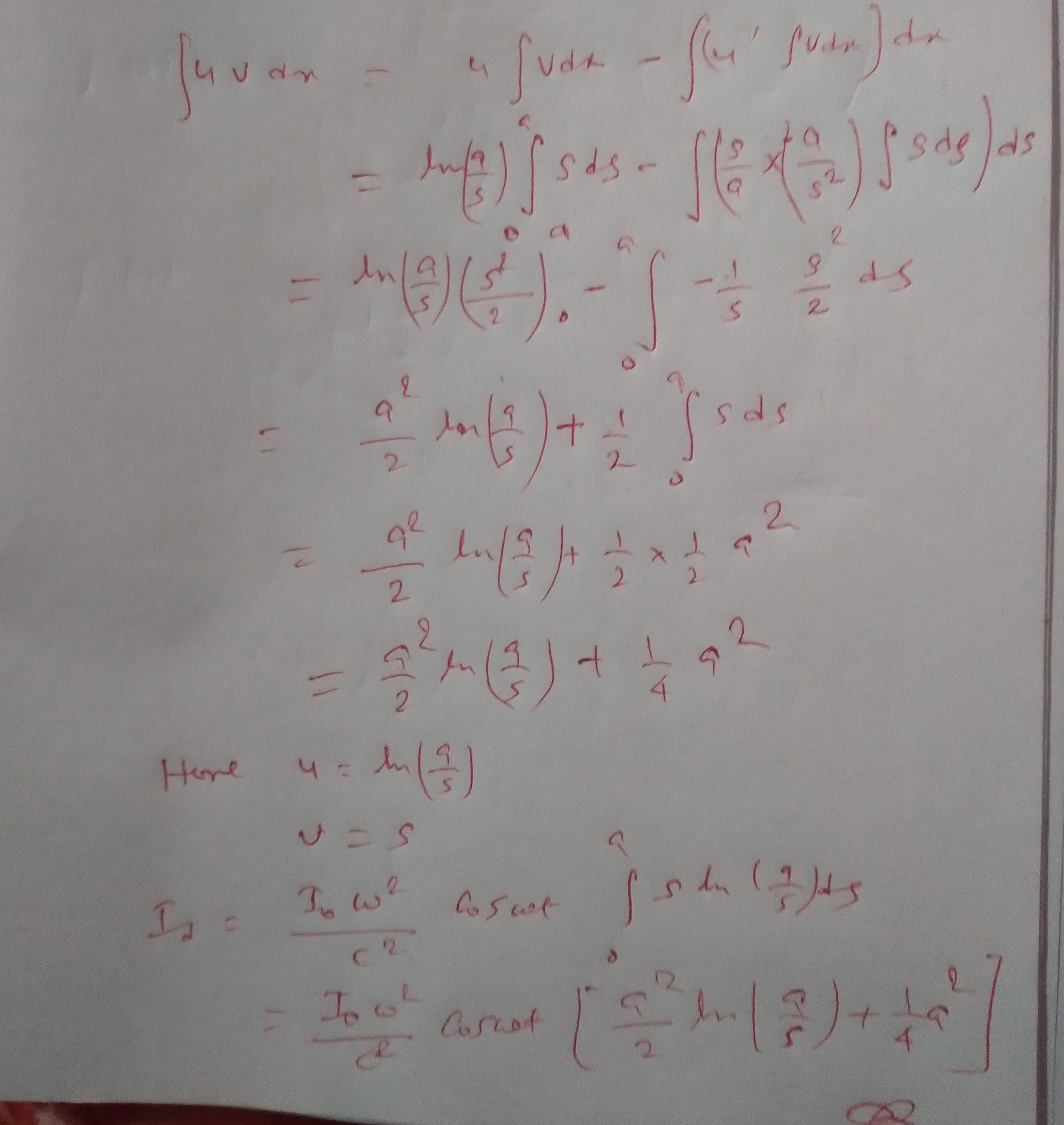
How do we integrate s ln (a/s) ds with s from 0 to a?

how do we integrate s ln (a/s) da with s from 0 to a?

1 Answer(s) Answer Now
  • 0 Likes
  • 2 Comments
  • 0 Shares
whatsapp-btn

Do You Want Better RANK in Your Exam?

Start Your Preparations with Eduncle’s FREE Study Material

  • Updated Syllabus, Paper Pattern & Full Exam Details
  • Sample Theory of Most Important Topic
  • Model Test Paper with Detailed Solutions
  • Last 5 Years Question Papers & Answers