Time management is very much important in IIT JAM. The eduncle test series for IIT JAM Mathematical Statistics helped me a lot in this portion. I am very thankful to the test series I bought from eduncle.
Nilanjan Bhowmick AIR 3, CSIR NET (Earth Science)
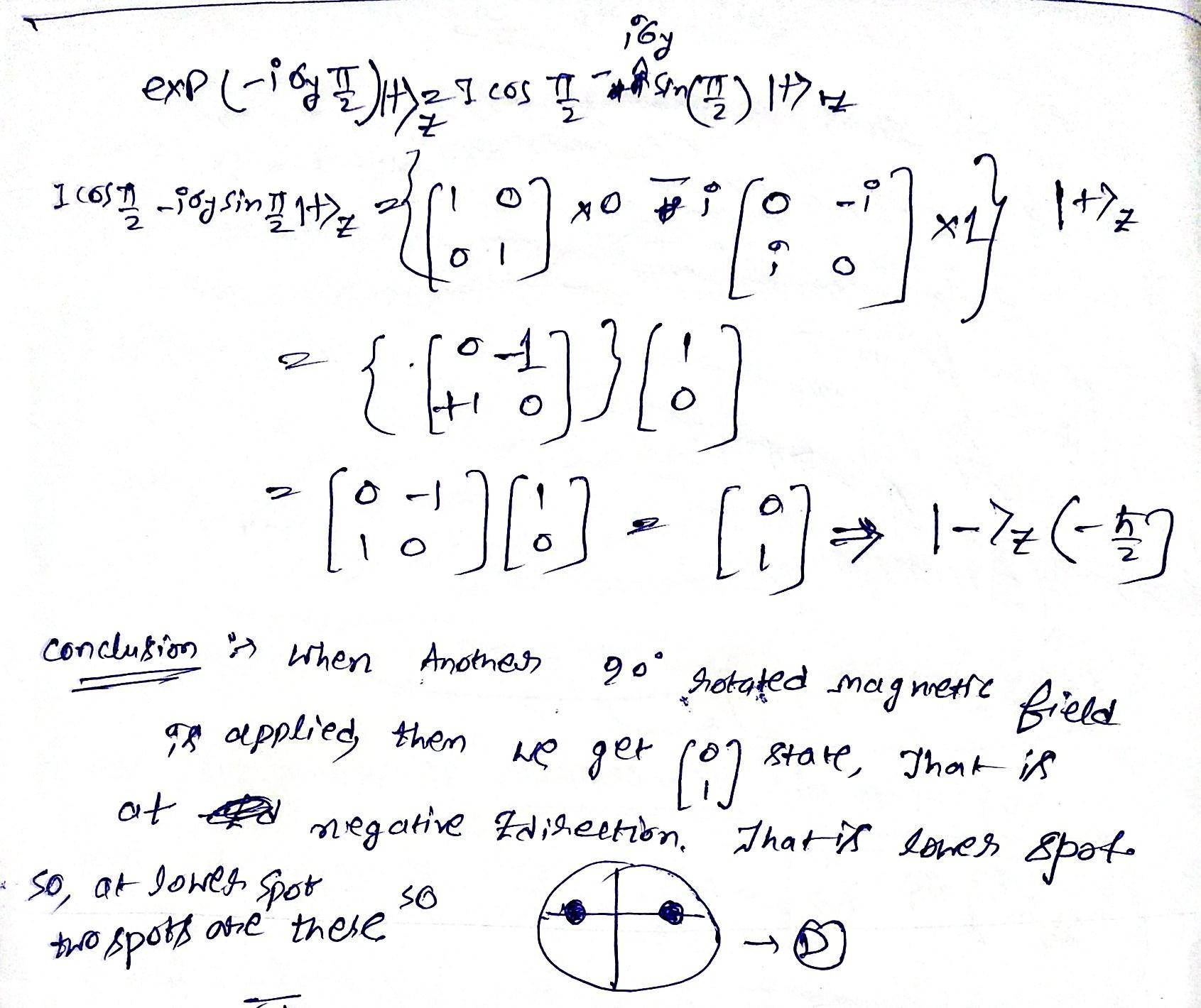
>


Bidyut sinha
please see attached picture..D is the answer..First Assume that in 1st set up Magnetic field is given at +z direction and in the 2 nd set up ,it is in +y direction...