Time management is very much important in IIT JAM. The eduncle test series for IIT JAM Mathematical Statistics helped me a lot in this portion. I am very thankful to the test series I bought from eduncle.
Nilanjan Bhowmick AIR 3, CSIR NET (Earth Science)
>


Ravi bhushan
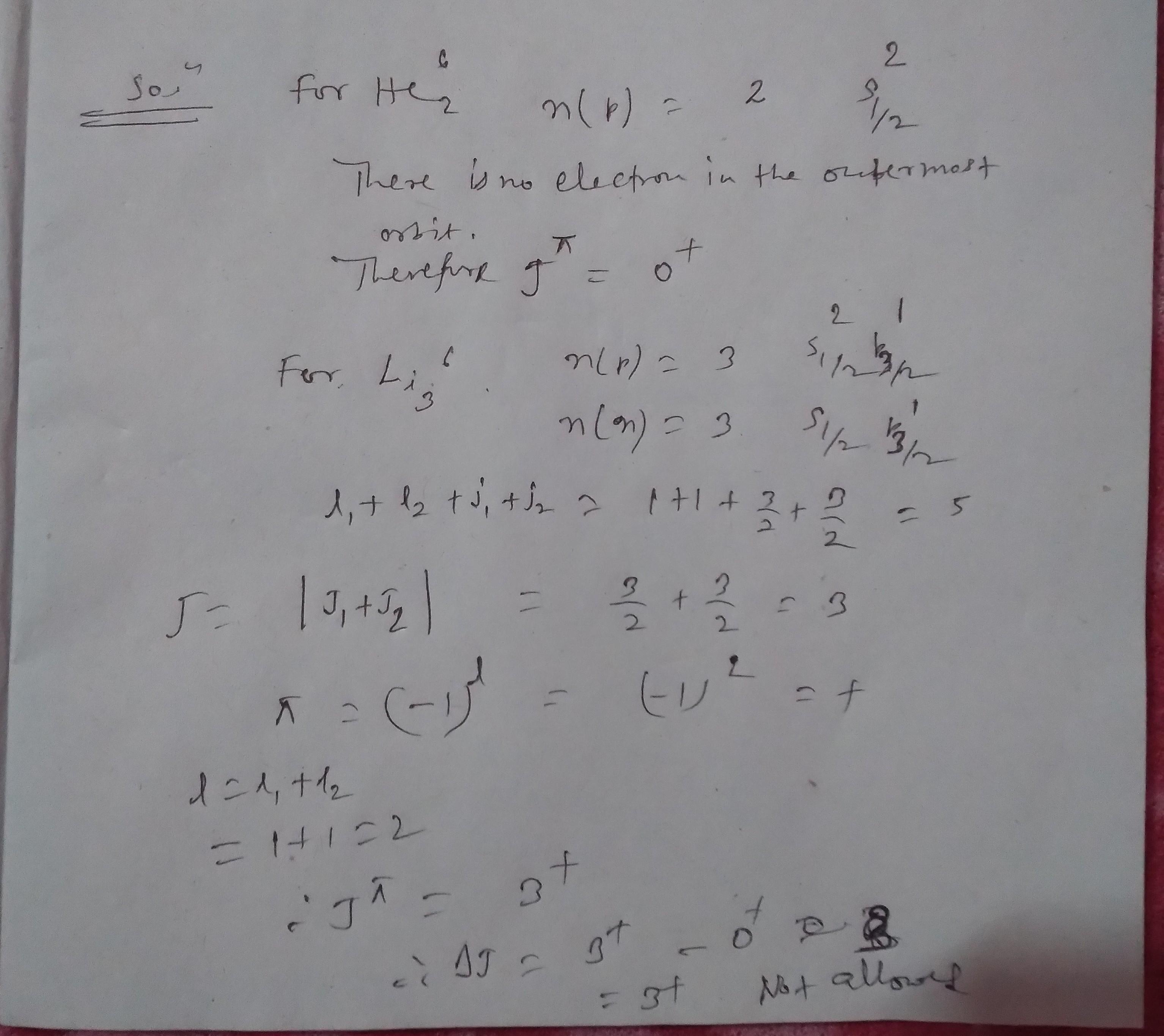
Here is the detailed solution.
Sir how delta J is 1 because j for He(2,6)is 0 and for Li(3,6)is 3+
then transition is not allowed.
sorry I have not find j value separately.
Wait for sometimes. I am solving.
Now you can see the correct answer.