profile-img
Vijay posted an Question
June 04, 2022 • 19:57 pm 30 points
  • CSIR NET
  • Mathematical Sciences

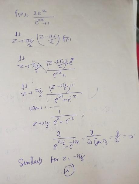
Jl2)= l/ 2e lz= 2 polts are find residues

Jl2)= L/ 2e lz= 2 . Find the residue o(-1'E2) (3 are Find residues

1 Answer(s) Answer Now
  • 0 Likes
  • 1 Comments
  • 0 Shares
whatsapp-btn

Do You Want Better RANK in Your Exam?

Start Your Preparations with Eduncle’s FREE Study Material

  • Updated Syllabus, Paper Pattern & Full Exam Details
  • Sample Theory of Most Important Topic
  • Model Test Paper with Detailed Solutions
  • Last 5 Years Question Papers & Answers