profile-img
Vijay posted an Question
July 24, 2022 • 02:37 am 30 points
  • CSIR NET
  • Mathematical Sciences

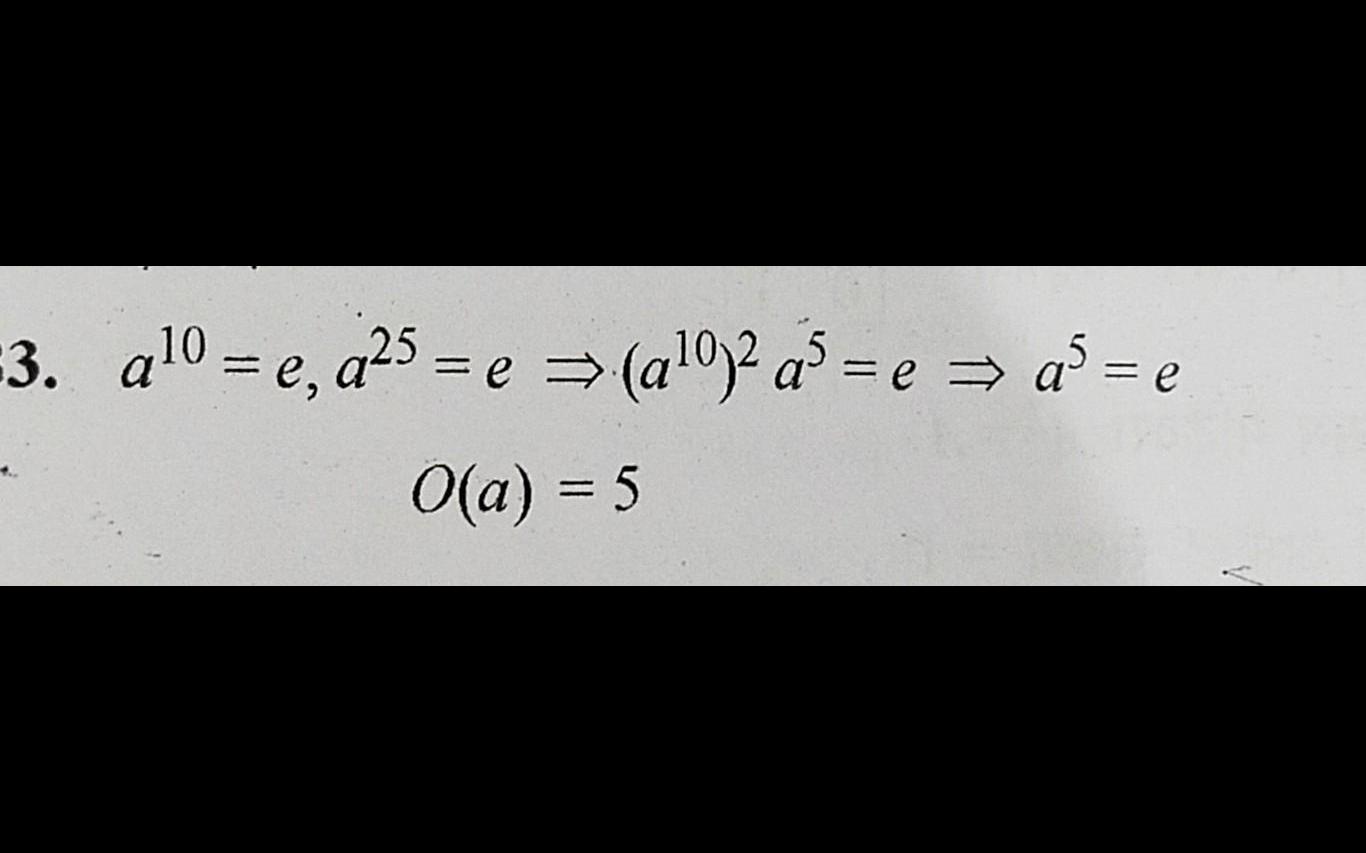
Let a be an element of a group g such that a"=e,a=eand a+e, where e is the identity of g. then the order of a is: jnu 2021] (a) 250 (b) 1 (c)5 (d) 50

Let a be an element of a group G such that a"=e,a=eand a+e, where e is the identity of G. Then the order of a is: JNU 2021] (a) 250 (b) 1 (c)5 (d) 50

1 Answer(s) Answer Now
  • 0 Likes
  • 1 Comments
  • 0 Shares
whatsapp-btn

Do You Want Better RANK in Your Exam?

Start Your Preparations with Eduncle’s FREE Study Material

  • Updated Syllabus, Paper Pattern & Full Exam Details
  • Sample Theory of Most Important Topic
  • Model Test Paper with Detailed Solutions
  • Last 5 Years Question Papers & Answers