profile-img
Eduncle posted an MCQ
January 03, 2020 • 20:16 pm 0 points
  • CSIR NET
  • Mathematical Sciences

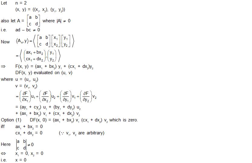
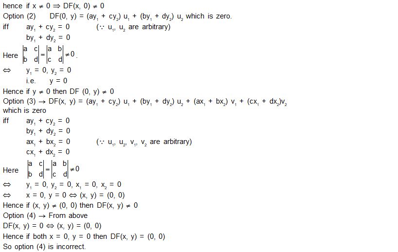
Let A be an invertible real n × n matrix. Define a function F :

Choose Your Answer:
0 Attempts Submit Now
  • 0 Likes
  • 1 Comments
  • 0 Shares
whatsapp-btn

Do You Want Better RANK in Your Exam?

Start Your Preparations with Eduncle’s FREE Study Material

  • Updated Syllabus, Paper Pattern & Full Exam Details
  • Sample Theory of Most Important Topic
  • Model Test Paper with Detailed Solutions
  • Last 5 Years Question Papers & Answers