profile-img
Vijay posted an Question
June 08, 2022 • 02:51 am 30 points
  • CSIR NET
  • Mathematical Sciences

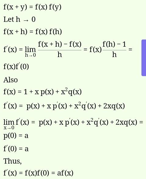
Let f(x) be continuous and differentiable function satisfying f(x+ y) = f(x) f(y) for all x, yer. if f(x) can be expressed as f(x) = 1 + x p(x)+ x*q(x) where li

Let f(x) be continuous and differentiable function satisfying f(x+ y) = f(x) f(y) for all X, yeR. If f(x) can be expressed as f(x) = 1 + x p(x)+ X*q(x) where lim p(x) = a and lim q(x) = b then X-0 X f(x) is

1 Answer(s) Answer Now
  • 0 Likes
  • 1 Comments
  • 0 Shares
whatsapp-btn

Do You Want Better RANK in Your Exam?

Start Your Preparations with Eduncle’s FREE Study Material

  • Updated Syllabus, Paper Pattern & Full Exam Details
  • Sample Theory of Most Important Topic
  • Model Test Paper with Detailed Solutions
  • Last 5 Years Question Papers & Answers