profile-img
Vijay posted an Question
May 31, 2022 • 02:25 am 30 points
  • CSIR NET
  • Mathematical Sciences

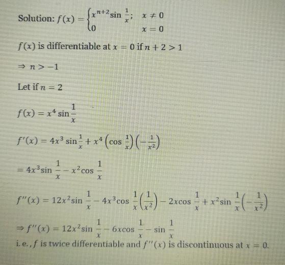
Let n be a positive integer. let f(x) = x** sin if x0 and let f(0)= 0. for what value of n will f be twice differentiable but with its second derivative discont

Let n be a positive integer. Let f(x) = x** sin if x0 and let f(0)= 0. For what value of n will f be twice differentiable but with its second derivative discontinuous at x = 0? [2005]

2 Answer(s) Answer Now
  • 0 Likes
  • 2 Comments
  • 0 Shares
whatsapp-btn

Do You Want Better RANK in Your Exam?

Start Your Preparations with Eduncle’s FREE Study Material

  • Updated Syllabus, Paper Pattern & Full Exam Details
  • Sample Theory of Most Important Topic
  • Model Test Paper with Detailed Solutions
  • Last 5 Years Question Papers & Answers