Time management is very much important in IIT JAM. The eduncle test series for IIT JAM Mathematical Statistics helped me a lot in this portion. I am very thankful to the test series I bought from eduncle.
Nilanjan Bhowmick AIR 3, CSIR NET (Earth Science)
>


Satpal singh
see the attachmemt
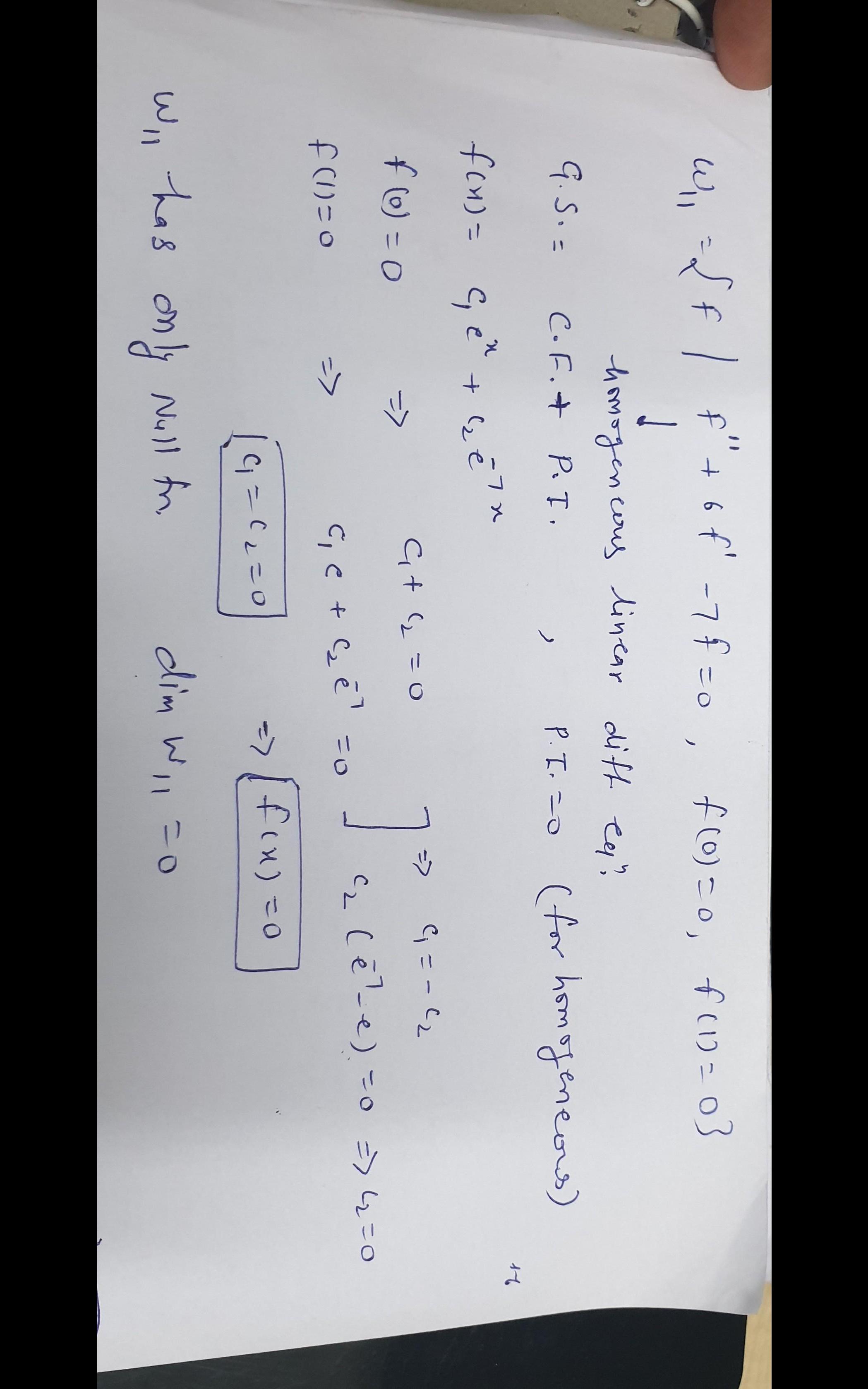
Are w 11,12 subspace?
yes
Sir, in the material only w11 is given as subspace, but not w12. Once please check the below image and explain.
this is wrong according to me.bcoz first we have to find the functions which satisfy given differential equation