Time management is very much important in IIT JAM. The eduncle test series for IIT JAM Mathematical Statistics helped me a lot in this portion. I am very thankful to the test series I bought from eduncle.
Nilanjan Bhowmick AIR 3, CSIR NET (Earth Science)
>
>

>
>


Chandra prakash
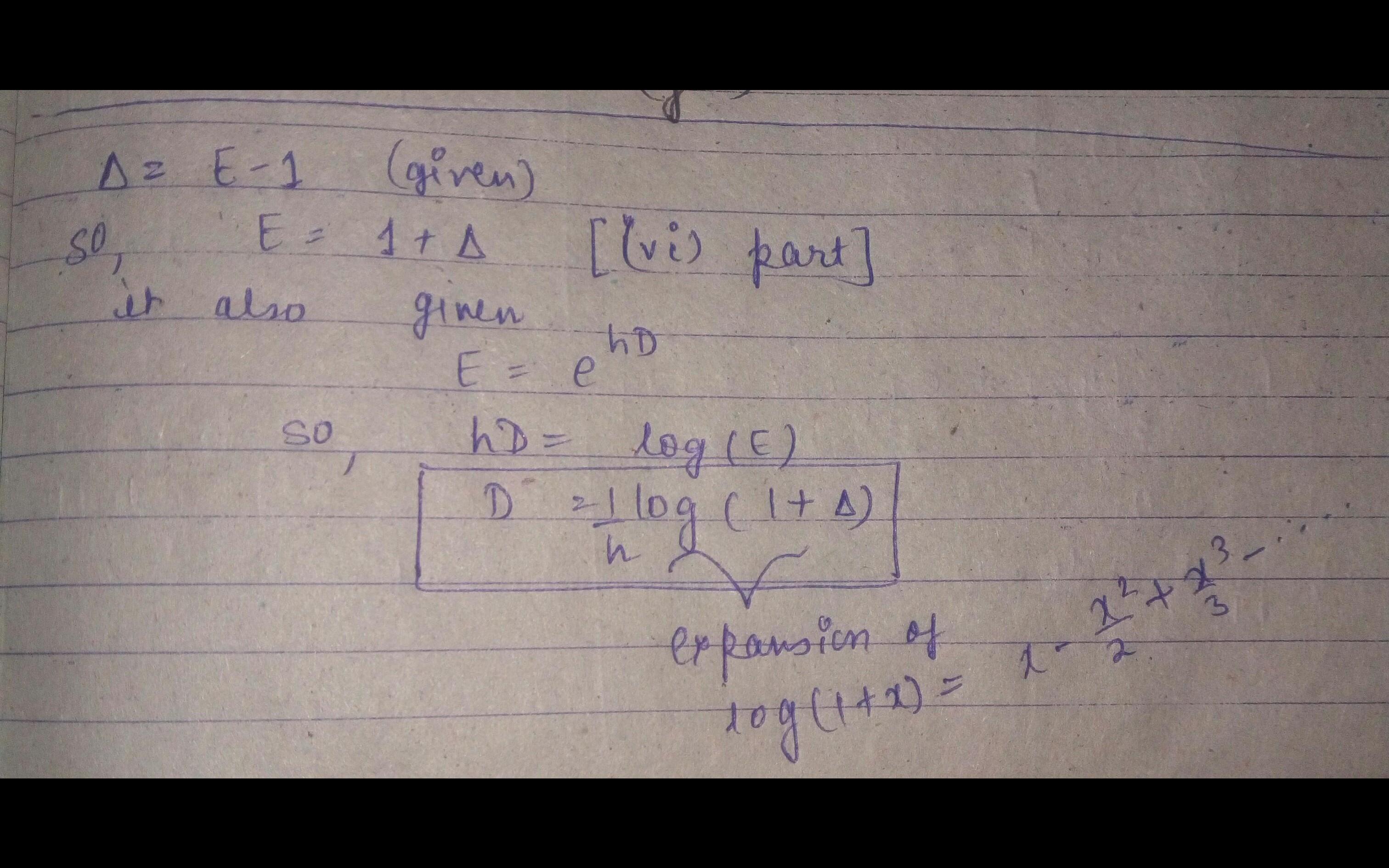
see other proof which is very helpful for u...
if u any doubt feel free to ask.
thanx a lot