Time management is very much important in IIT JAM. The eduncle test series for IIT JAM Mathematical Statistics helped me a lot in this portion. I am very thankful to the test series I bought from eduncle.
Nilanjan Bhowmick AIR 3, CSIR NET (Earth Science)
		
			
			
			
			
			
			
			
			
			
>
	
				
				
            
            

                
Satpal singh
			
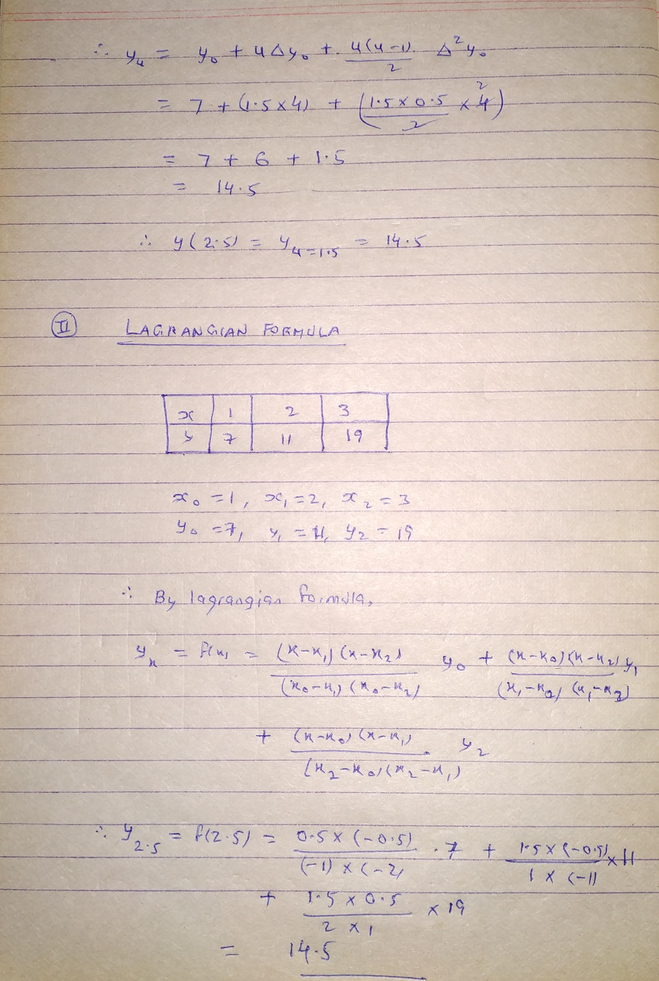
the values is given at x=1 ,2,3 distance between x is uniform so we can use newton forward interpolation formula