Rajmohan posted an Question
July 11, 2021 • 03:58 am 30 points
  • CSIR NET
  • Physical Sciences

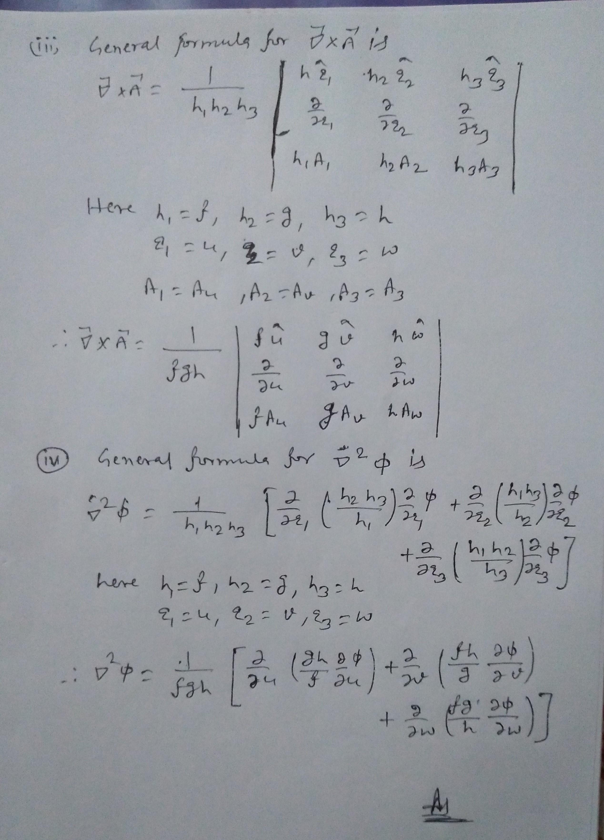
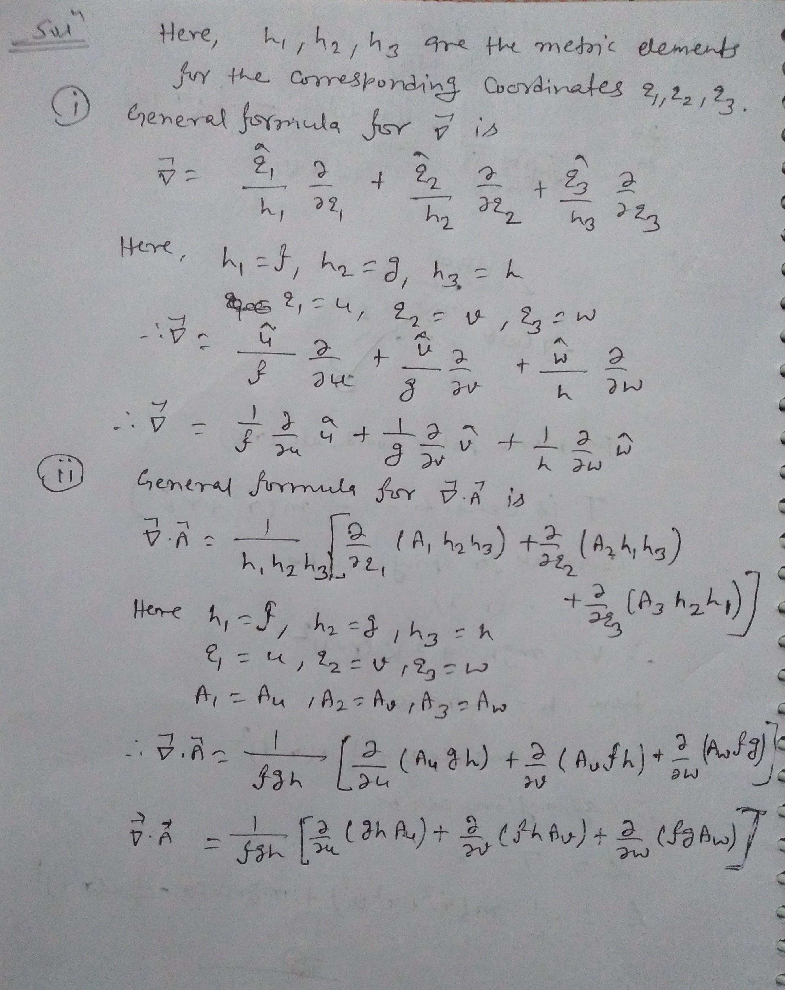
Please explain how these equations are formed. how can we write

Please explain how these equations are formed. How can we write

1 Answer(s) Answer Now
  • 0 Likes
  • 1 Comments
  • 0 Shares
whatsapp-btn

Do You Want Better RANK in Your Exam?

Start Your Preparations with Eduncle’s FREE Study Material

  • Updated Syllabus, Paper Pattern & Full Exam Details
  • Sample Theory of Most Important Topic
  • Model Test Paper with Detailed Solutions
  • Last 5 Years Question Papers & Answers