profile-img
Sudhanshu Ranjan posted an Question
September 11, 2020 • 06:22 am 30 points
  • CSIR NET
  • Mathematical Sciences

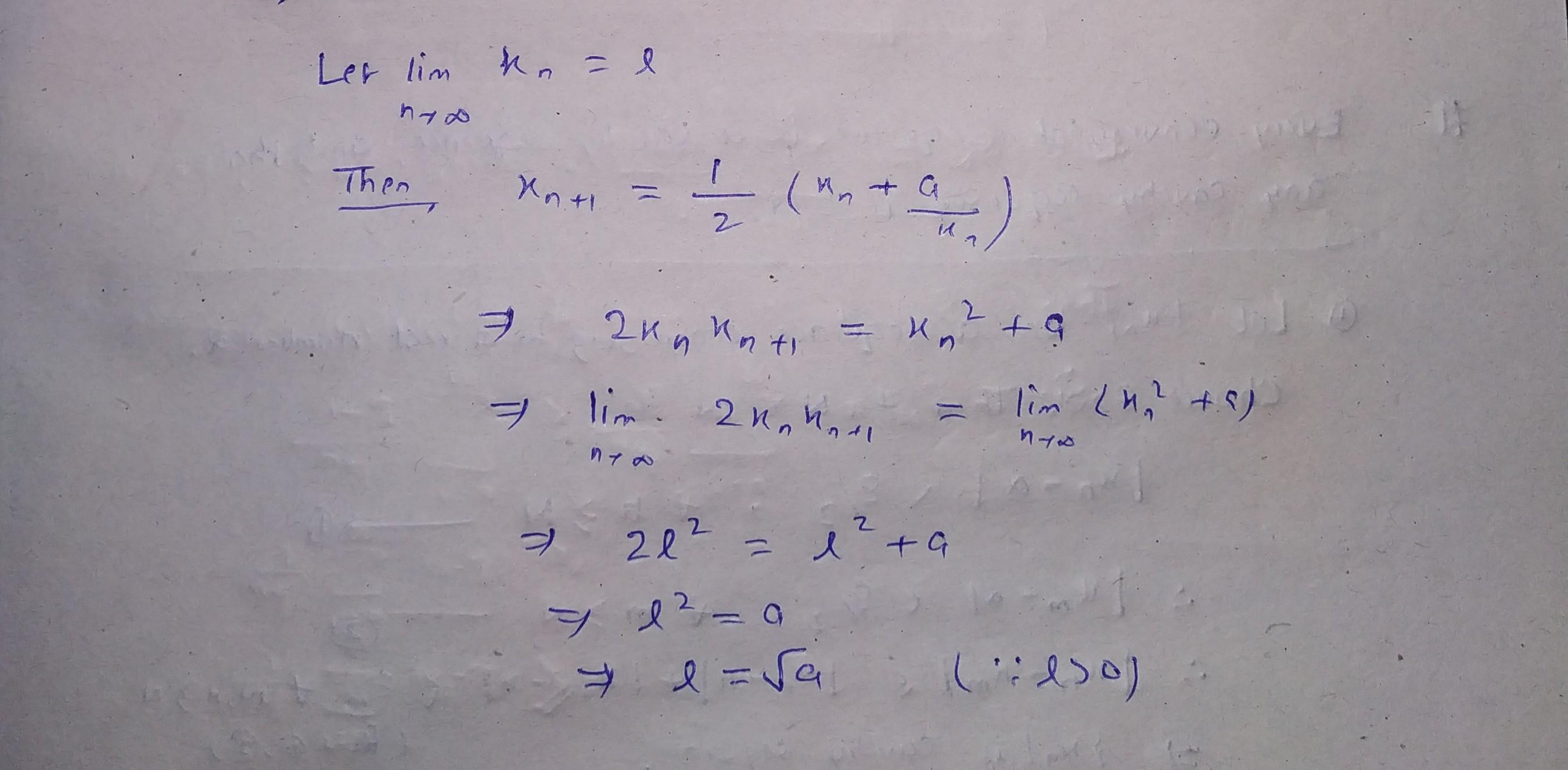
Please solve the given question...............................

please solve the given question...............................

2 Answer(s) Answer Now
  • 0 Likes
  • 2 Comments
  • 0 Shares
whatsapp-btn

Do You Want Better RANK in Your Exam?

Start Your Preparations with Eduncle’s FREE Study Material

  • Updated Syllabus, Paper Pattern & Full Exam Details
  • Sample Theory of Most Important Topic
  • Model Test Paper with Detailed Solutions
  • Last 5 Years Question Papers & Answers