Time management is very much important in IIT JAM. The eduncle test series for IIT JAM Mathematical Statistics helped me a lot in this portion. I am very thankful to the test series I bought from eduncle.
Nilanjan Bhowmick AIR 3, CSIR NET (Earth Science)
>
>



Chandra prakash
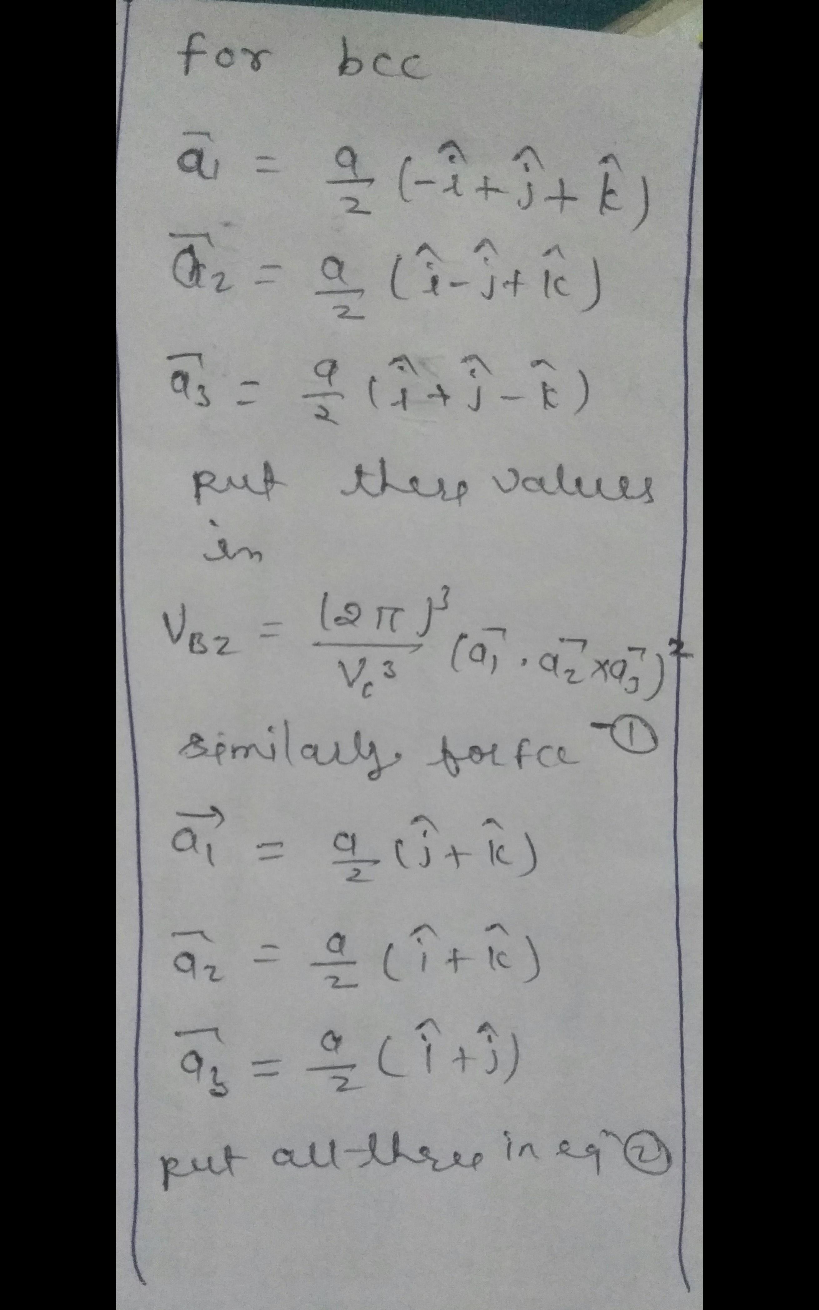
dear see attached file... it's very helpful for you.. it's full calculation... see it here.. best regards
if u have any questions regarding this u can ask
see all attached file...
for clarification of volume of brillouin zone... see attached file by vaishali ma'am