Time management is very much important in IIT JAM. The eduncle test series for IIT JAM Mathematical Statistics helped me a lot in this portion. I am very thankful to the test series I bought from eduncle.
Nilanjan Bhowmick AIR 3, CSIR NET (Earth Science)
>


Somnath Best Answer
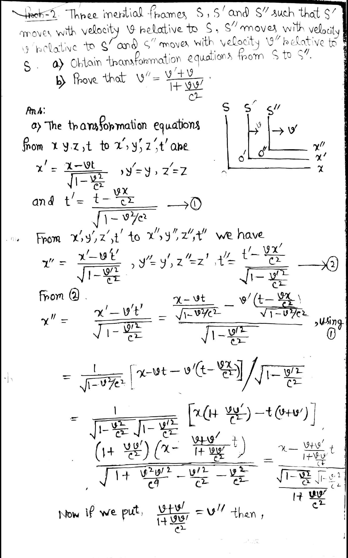
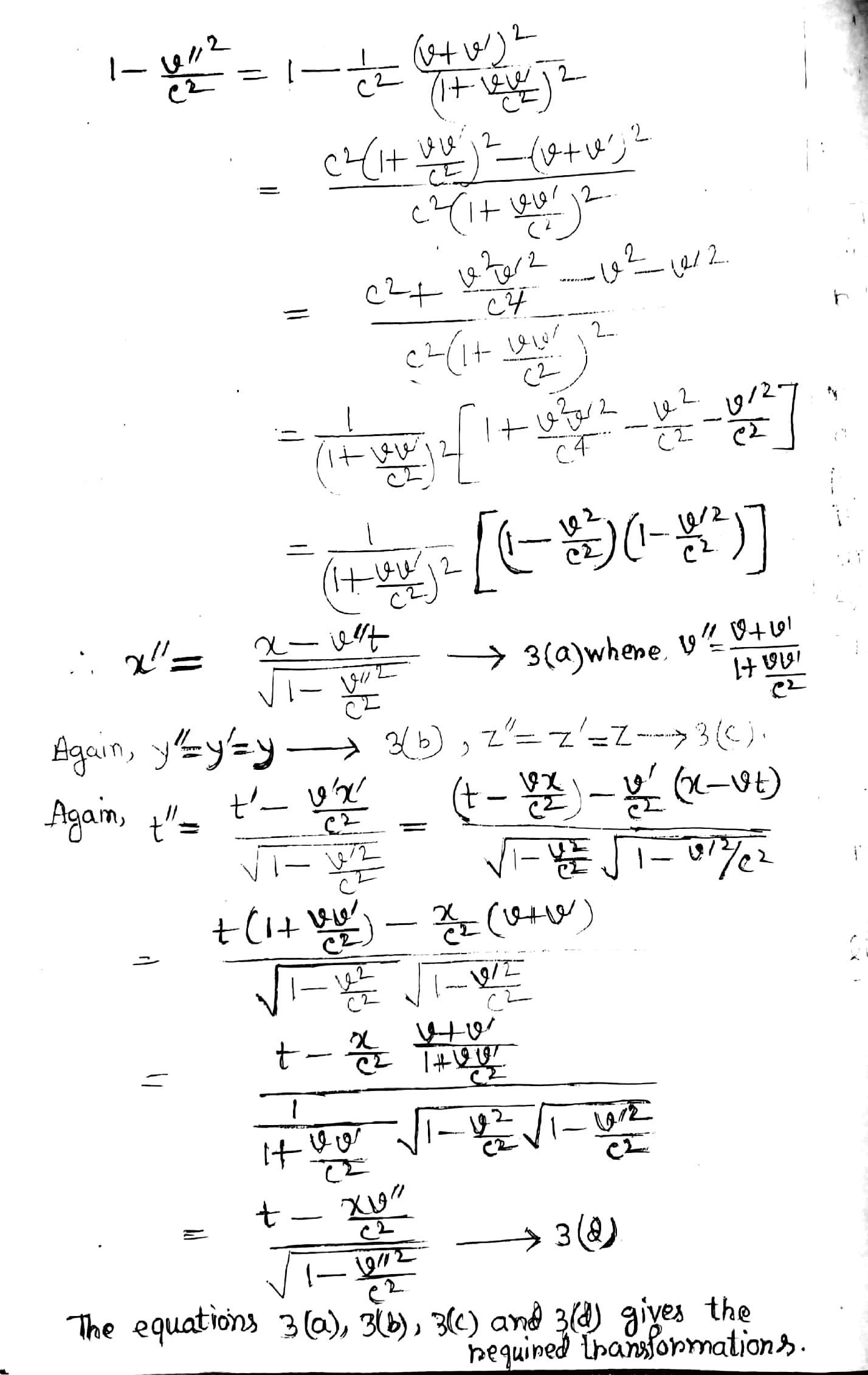
Yes you can use the relative velocity formula of relativity. The theory is attached. See the files to under the formula used here.