Time management is very much important in IIT JAM. The eduncle test series for IIT JAM Mathematical Statistics helped me a lot in this portion. I am very thankful to the test series I bought from eduncle.
Nilanjan Bhowmick AIR 3, CSIR NET (Earth Science)
>


Dhairya sharma
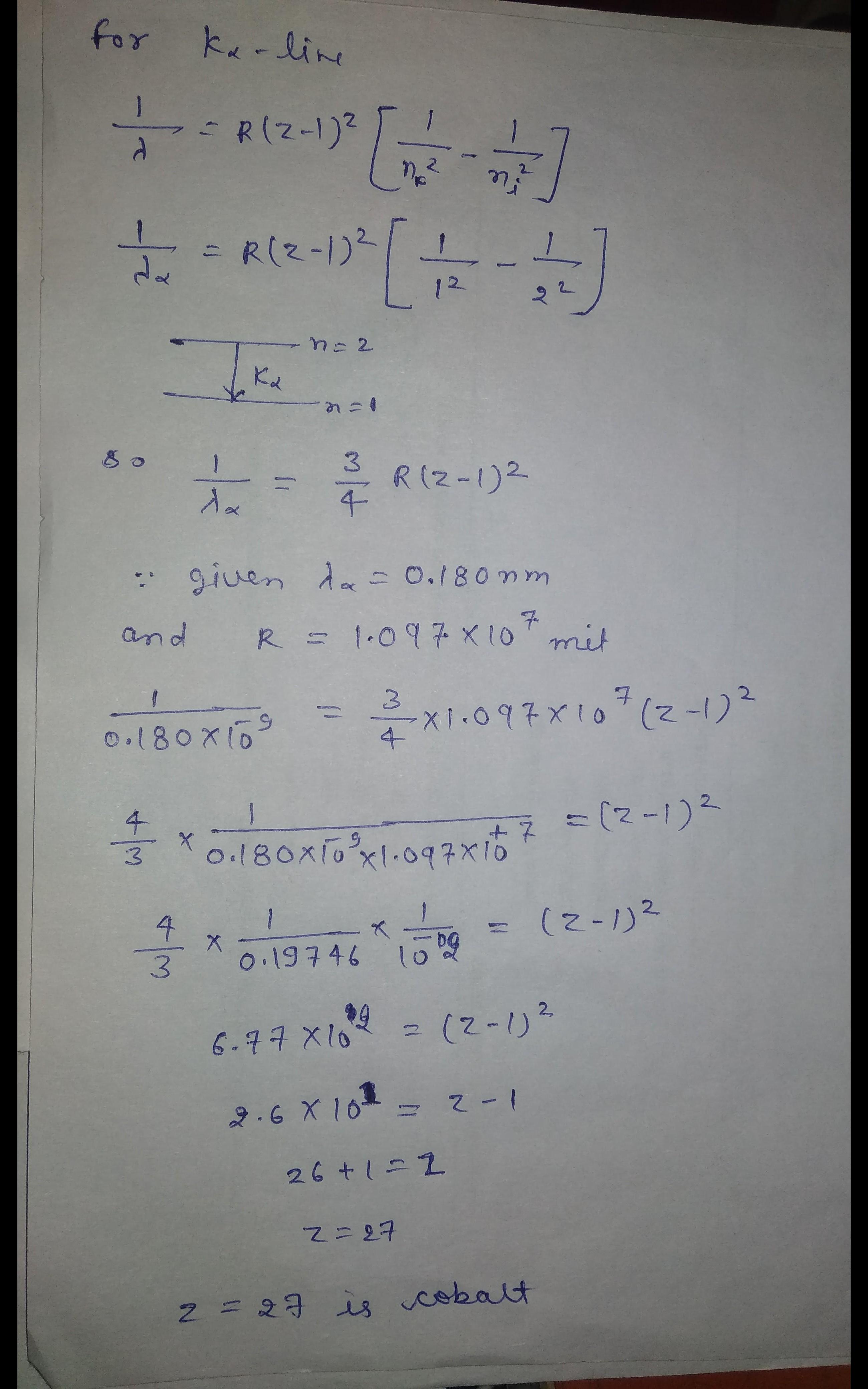
dear see solution .I used the concept of line spectra of hydrogen atom.
in the transition from first excited state to ground state the spectral line known as k alpha line.
if u fell uneasy the solution plz ask further