profile-img
Vijay posted an Question
June 12, 2022 • 02:37 am 30 points
  • CSIR NET
  • Mathematical Sciences

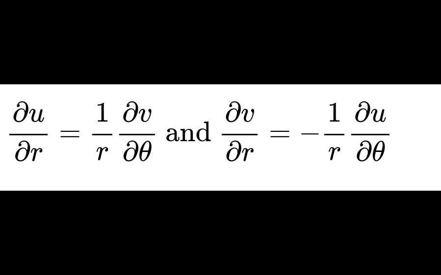
Polar form of the cauchy-rlemann equatlonsls ou ov aand or ou 1 8v 1 8 t oa dnd or r o 1 8v t og dnd or 18 and a 8r or

Polar form of the Cauchy-Rlemann equatlonsls Ou Ov Aand Or Ou 1 8v 1 8 T OA dnd Or r o 1 8v T Og dnd Or 18 and A 8r or

1 Answer(s) Answer Now
  • 0 Likes
  • 1 Comments
  • 0 Shares
whatsapp-btn

Do You Want Better RANK in Your Exam?

Start Your Preparations with Eduncle’s FREE Study Material

  • Updated Syllabus, Paper Pattern & Full Exam Details
  • Sample Theory of Most Important Topic
  • Model Test Paper with Detailed Solutions
  • Last 5 Years Question Papers & Answers