Time management is very much important in IIT JAM. The eduncle test series for IIT JAM Mathematical Statistics helped me a lot in this portion. I am very thankful to the test series I bought from eduncle.
Nilanjan Bhowmick AIR 3, CSIR NET (Earth Science)


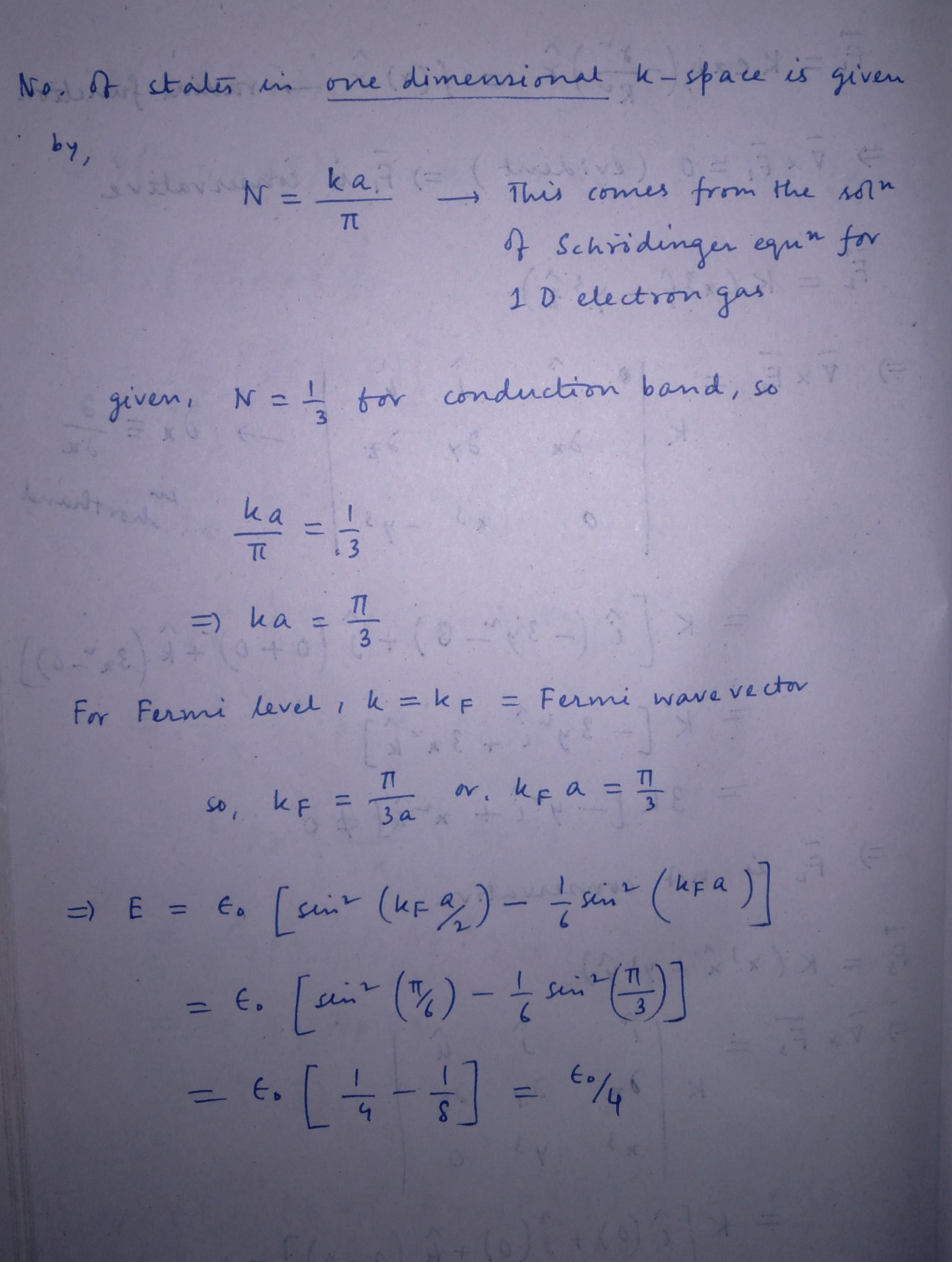
Swapnadeep goswami Best Answer
See the attachment,ask if you have any doubt or of any discussion is required.
plz explain how no. of states comes