Time management is very much important in IIT JAM. The eduncle test series for IIT JAM Mathematical Statistics helped me a lot in this portion. I am very thankful to the test series I bought from eduncle.
Nilanjan Bhowmick AIR 3, CSIR NET (Earth Science)
>
>



Bidyut sinha
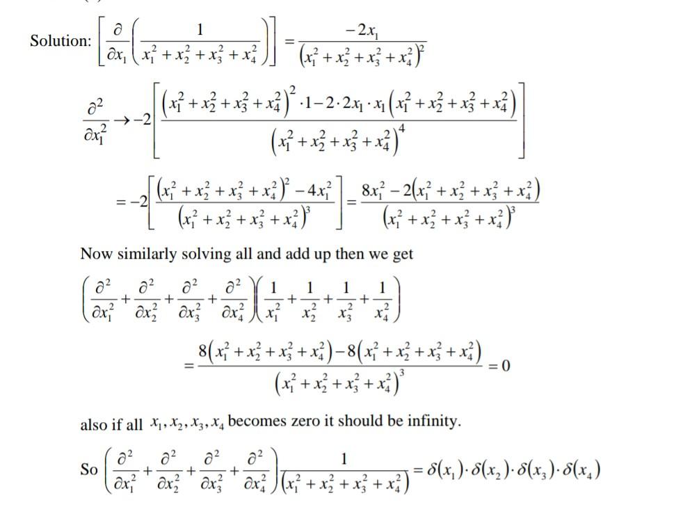
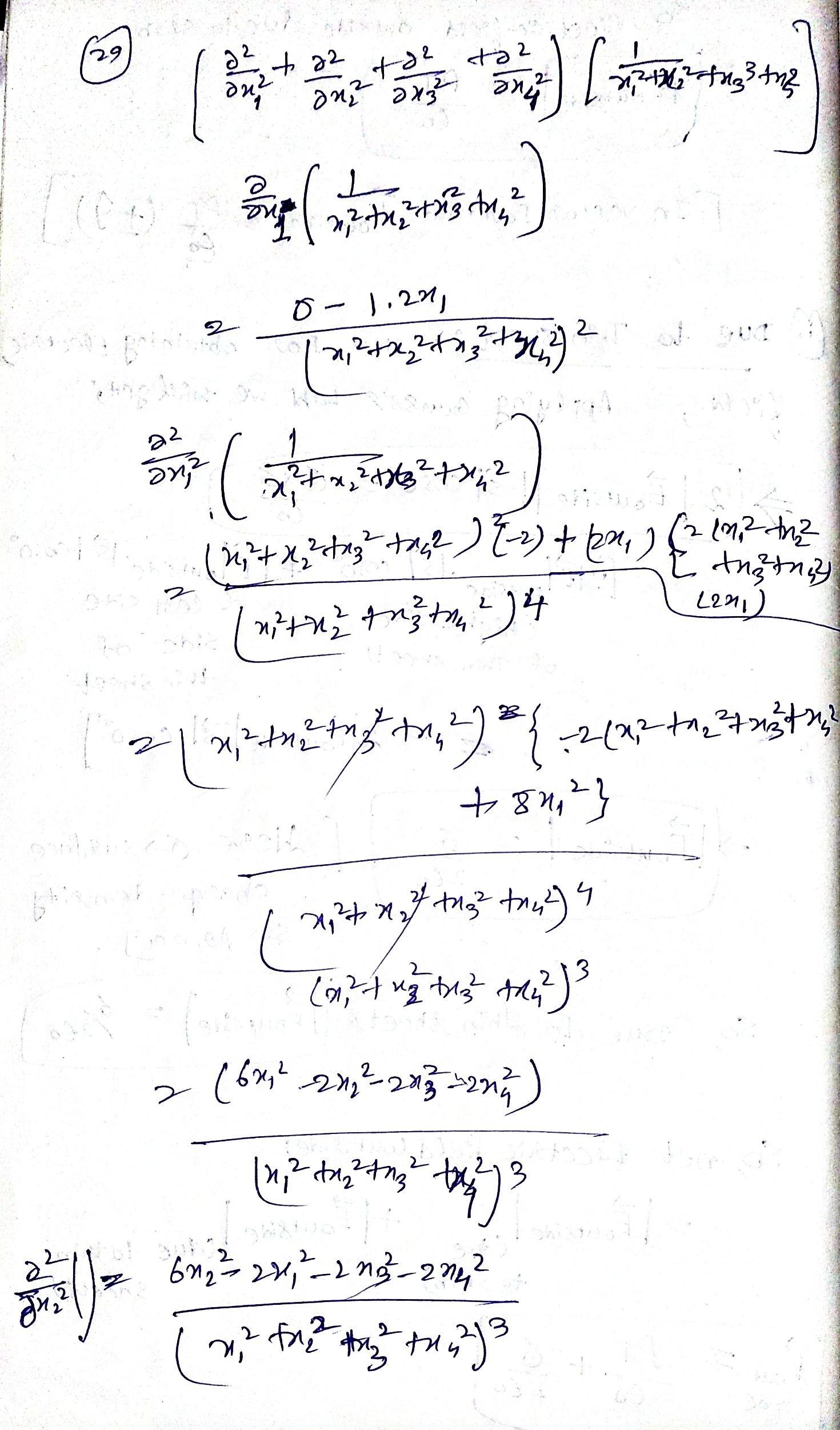
see the second picture,I have attached...We are getting zero(0) if x1,x2,x3,x4 not equal to 0.. otherwise non zero...this is property of Dirac Delta