Time management is very much important in IIT JAM. The eduncle test series for IIT JAM Mathematical Statistics helped me a lot in this portion. I am very thankful to the test series I bought from eduncle.
Nilanjan Bhowmick AIR 3, CSIR NET (Earth Science)
>
>
>



Ruby negi
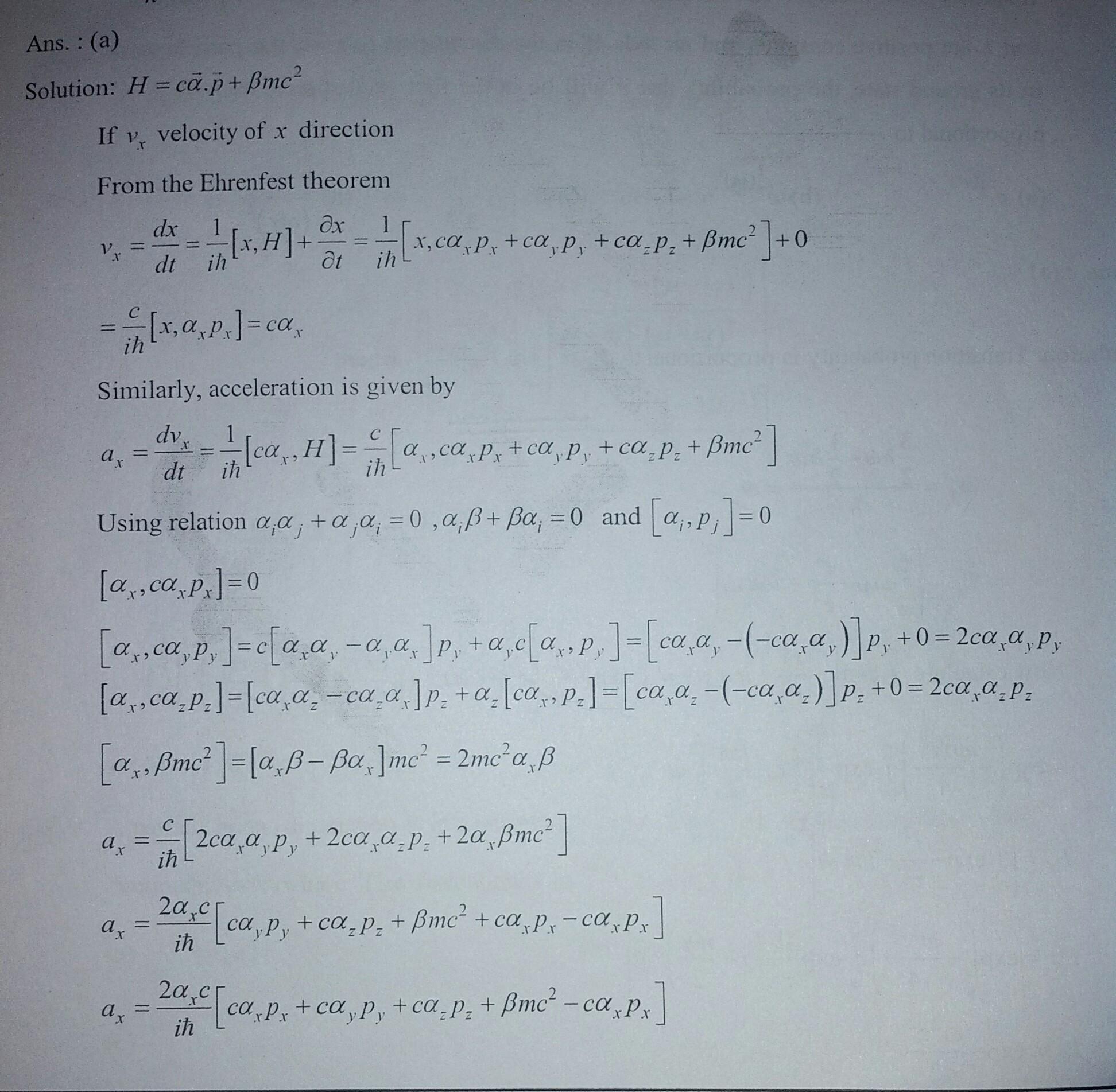
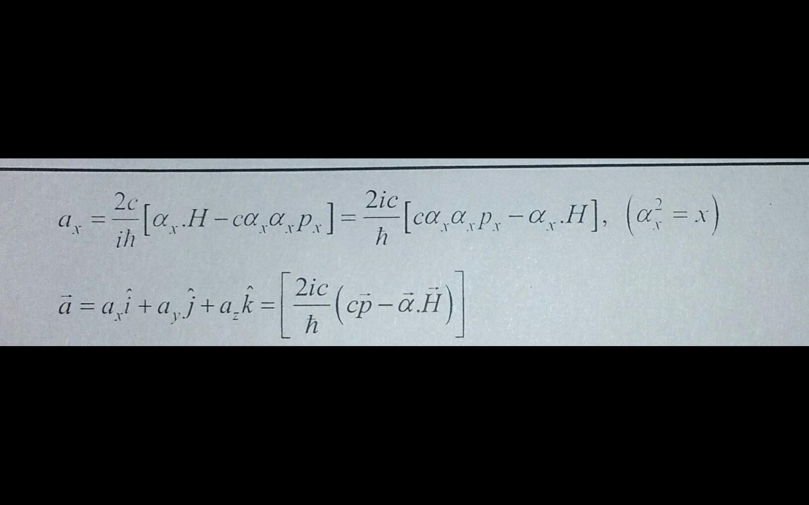
see the method....
i didn't do the complete solution
I suggest you to do the solution by urself
for any don't, u can ask.